Официальное опубликование правовых актов
ОФИЦИАЛЬНОЕ ОПУБЛИКОВАНИЕ
Приказ Министерства природных ресурсов и экологии Республики Карелия от 31.03.2026 № 724
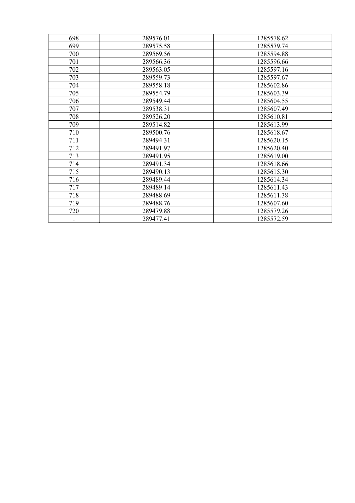
"Об утверждении местоположения береговой линии (границы водного объекта), границ водоохранной зоны и прибрежной защитной полосы ручья без названия (код 01040300212299000002410), расположенного вблизи п. Куркиёки Лахденпохского муниципального округа Республики Карелия"
(Зарегистрирован 01.04.2026 № 378)
Номер опубликования: 1001202604010003
Дата опубликования: 01.04.2026
Страница №25 из 39:
Увеличить