Официальное опубликование правовых актов
ОФИЦИАЛЬНОЕ ОПУБЛИКОВАНИЕ
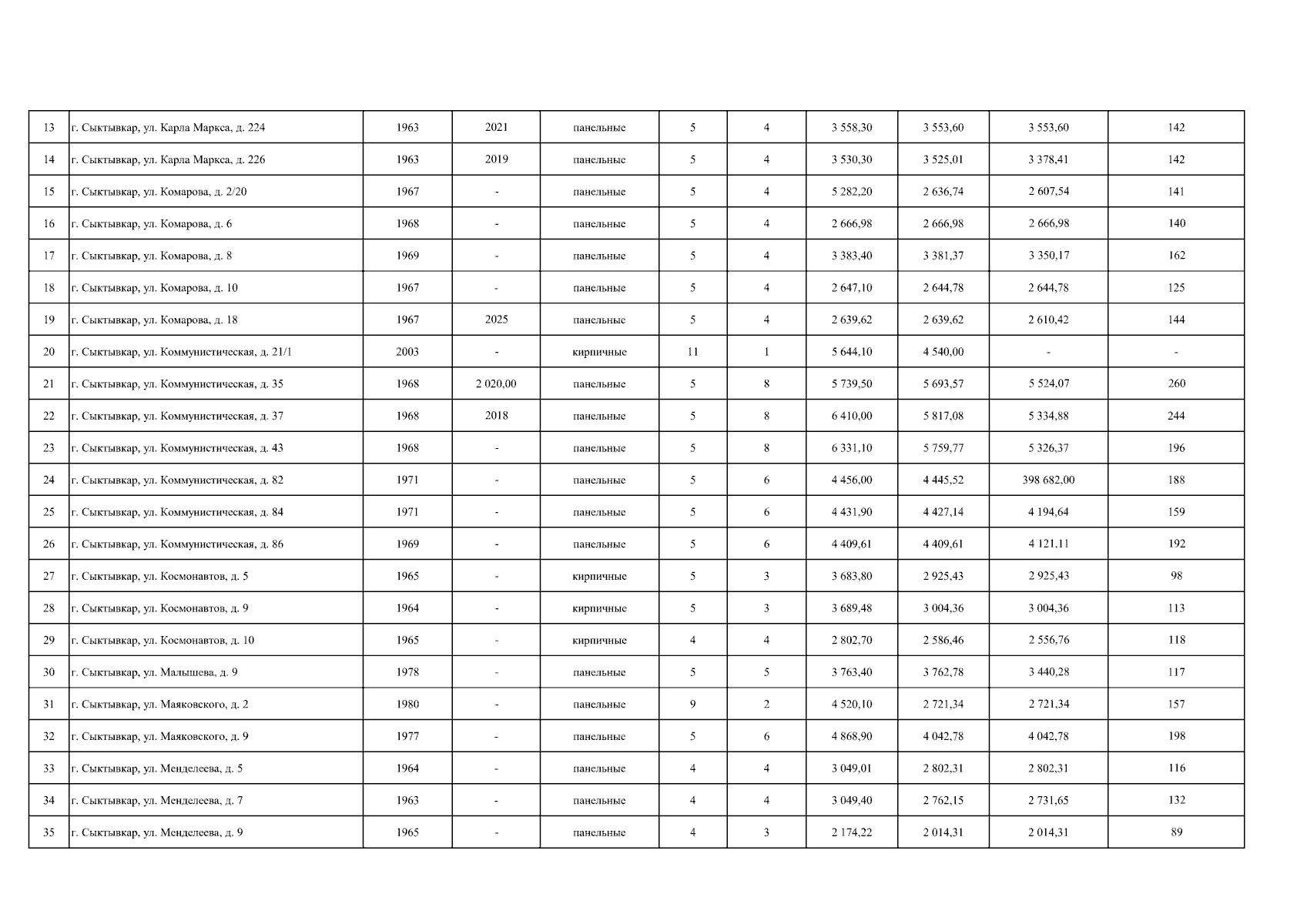
Постановление Правительства Республики Коми от 18.11.2025 № 345
"Об утверждении краткосрочного плана реализации региональной программы капитального ремонта общего имущества в многоквартирных домах, расположенных на территории Республики Коми, на 2027 – 2029 годы"
Номер опубликования: 1100202511240004
Дата опубликования: 24.11.2025
Страница №52 из 117:
Увеличить