Официальное опубликование правовых актов
ОФИЦИАЛЬНОЕ ОПУБЛИКОВАНИЕ
Постановление Правительства Республики Коми от 23.01.2026 № 18
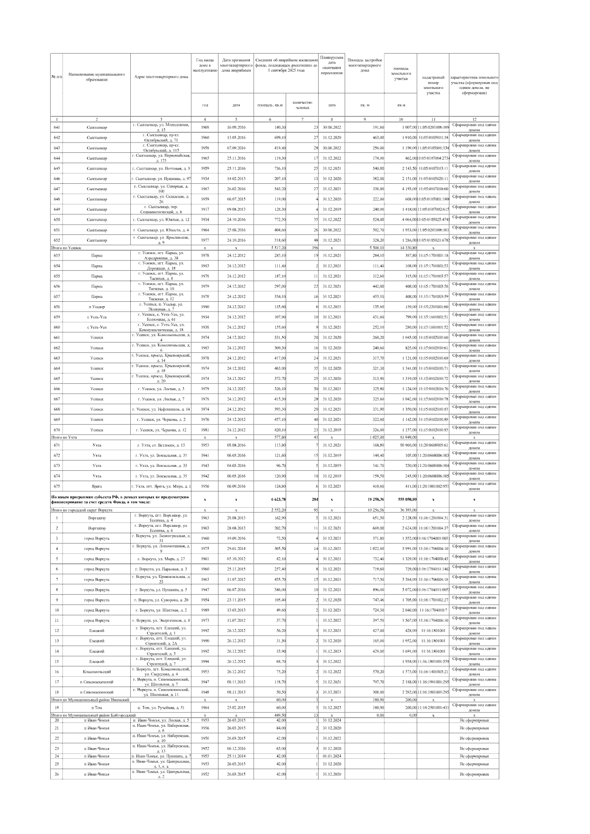
"О внесении изменений в постановление Правительства Республики Коми от 31 марта 2019 г. № 160 "Об утверждении республиканской адресной программы "Переселение граждан из аварийного жилищного фонда в 2019 – 2025 годах"
Номер опубликования: 1100202601280016
Дата опубликования: 28.01.2026
Страница №23 из 33:
Увеличить