Официальное опубликование правовых актов
ОФИЦИАЛЬНОЕ ОПУБЛИКОВАНИЕ
Приказ Министерства труда, занятости и социальной защиты Республики Коми от 04.05.2018 № 672
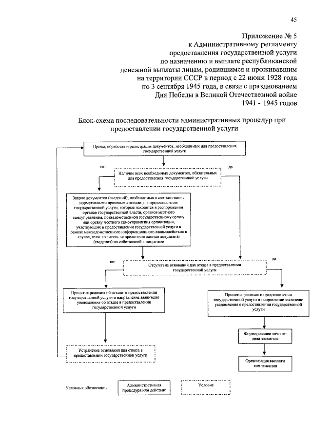
"Об утверждении Административного регламента предоставления государственной услуги по назначению и выплате республиканской денежной выплаты лицам, родившимся и проживавшим на территории СССР в период с 22 июня 1928 года по 3 сентября 1945 года, в связи с празднованием Дня Победы в Великой Отечественной войне 1941 - 1945 годов"
Номер опубликования: 1101201805110002
Дата опубликования: 11.05.2018
Страница №45 из 48:
Увеличить