Официальное опубликование правовых актов
ОФИЦИАЛЬНОЕ ОПУБЛИКОВАНИЕ
Приказ Министерства труда, занятости и социальной защиты Республики Коми от 28.12.2018 № 2034
"О внесении изменений в приказ Министерства труда и социальной защиты Республики Коми от 15 декабря 2015 г. № 2607 "Об утверждении Административного регламента предоставления государственной услуги по назначению и выплате компенсации гражданам фактически произведенных расходов за самостоятельно приобретенные средства реабилитации отечественного производства"
Номер опубликования: 1101201812290007
Дата опубликования: 29.12.2018
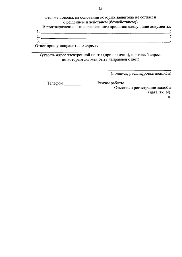
Страница №32 из 32:
Увеличить