Официальное опубликование правовых актов
ОФИЦИАЛЬНОЕ ОПУБЛИКОВАНИЕ
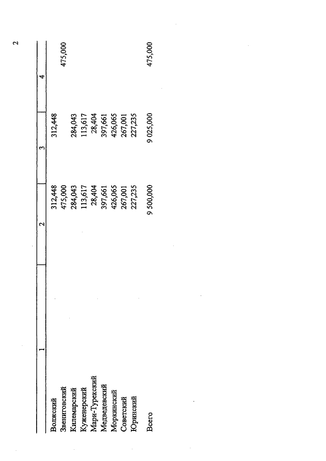
Закон Республики Марий Эл от 30.12.2015 № 58-З
"О внесении изменений в Закон Республики Марий Эл "О республиканском бюджете Республики Марий Эл на 2015 год и на плановый период 2016 и 2017 годов"
Номер опубликования: 1200201601040007
Дата опубликования: 04.01.2016
Страница №273 из 283:
Увеличить