Официальное опубликование правовых актов
ОФИЦИАЛЬНОЕ ОПУБЛИКОВАНИЕ
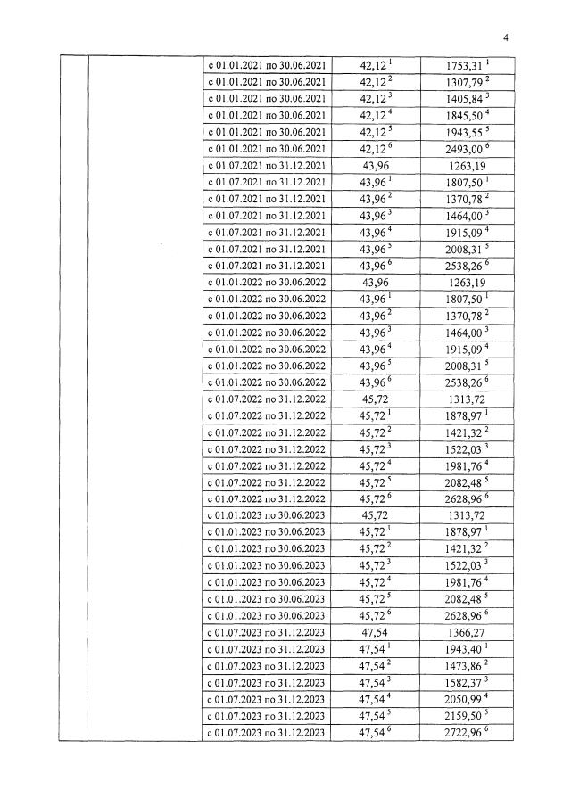
Приказ Министерства промышленности, экономического развития и торговли Республики Марий Эл от 18.12.2019 № 181 т
"О внесении изменений в некоторые приказы Министерства промышленности, экономического развития и торговли Республики Марий Эл"
(Зарегистрирован 25.12.2019 № 121220190161)
Номер опубликования: 1201201912300001
Дата опубликования: 30.12.2019
Страница №14 из 15:
Увеличить