Официальное опубликование правовых актов
ОФИЦИАЛЬНОЕ ОПУБЛИКОВАНИЕ
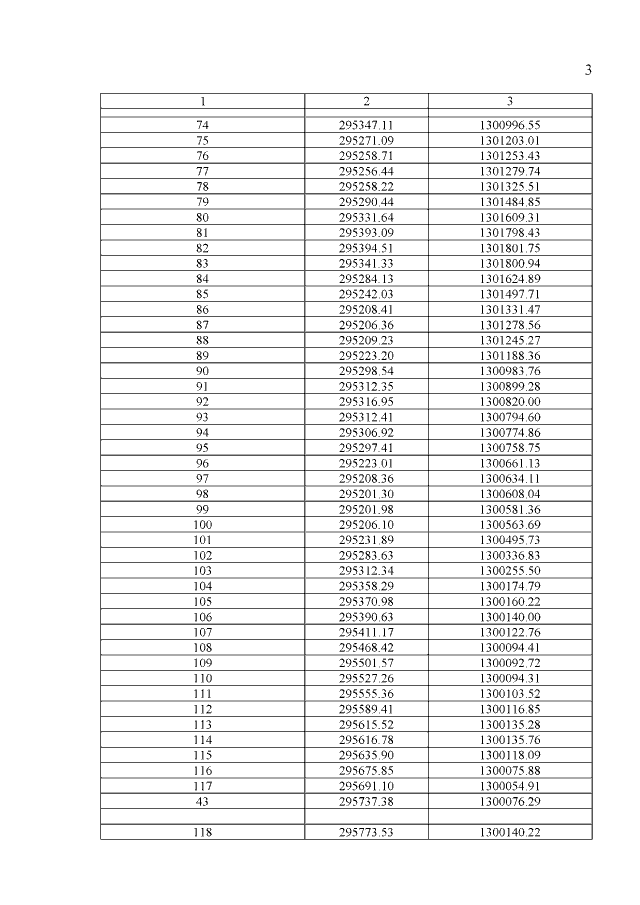
Приказ Министерства транспорта и дорожного хозяйства Республики Марий Эл от 14.10.2020 № 60-н
"Об установлении придорожных полос автомобильной дороги общего пользования республиканского значения Республики Марий Эл Полевая - Ильнетуры на территории Волжского района Республики Марий Эл"
(Зарегистрирован 21.10.2020 № 120620200051)
Номер опубликования: 1201202010260007
Дата опубликования: 26.10.2020
Страница №6 из 9:
Увеличить