Официальное опубликование правовых актов
ОФИЦИАЛЬНОЕ ОПУБЛИКОВАНИЕ
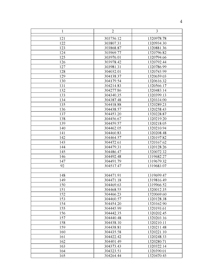
Приказ Министерства транспорта и дорожного хозяйства Республики Марий Эл от 13.10.2020 № 50-н
"Об установлении придорожных полос автомобильной дороги общего пользования республиканского значения Республики Марий Эл Петъял - Тошнер на территории Волжского района Республики Марий Эл"
(Зарегистрирован 23.10.2020 № 120620200059)
Номер опубликования: 1201202010260014
Дата опубликования: 26.10.2020
Страница №7 из 10:
Увеличить