Официальное опубликование правовых актов
ОФИЦИАЛЬНОЕ ОПУБЛИКОВАНИЕ
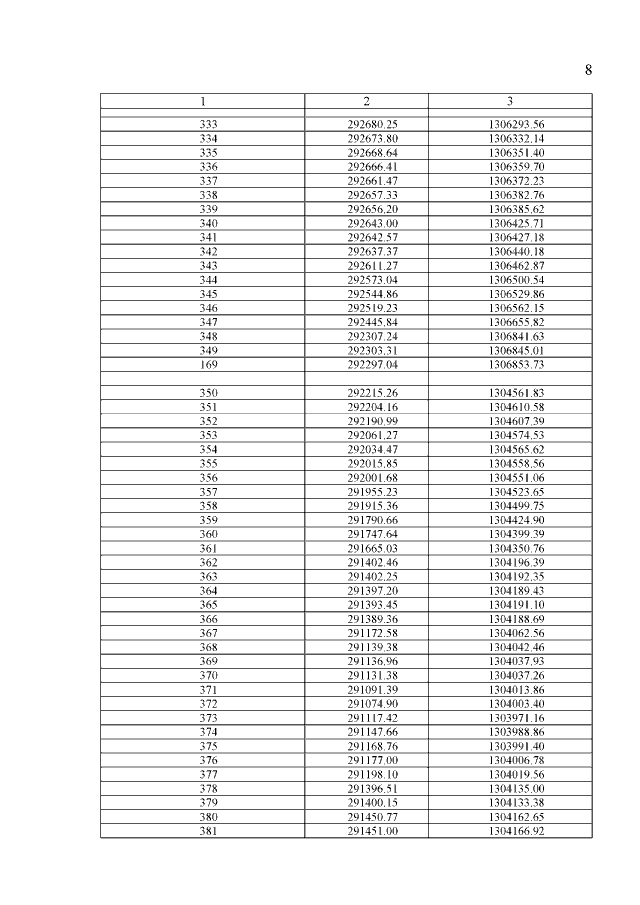
Приказ Министерства транспорта и дорожного хозяйства Республики Марий Эл от 13.10.2020 № 47-н
"Об установлении придорожных полос автомобильной дороги общего пользования республиканского значения Республики Марий Эл Приволжский - Эмеково - Челыкино на территории Волжского района Республики Марий Эл"
(Зарегистрирован 23.10.2020 № 120620200056)
Номер опубликования: 1201202010260015
Дата опубликования: 26.10.2020
Страница №11 из 13:
Увеличить