Официальное опубликование правовых актов
ОФИЦИАЛЬНОЕ ОПУБЛИКОВАНИЕ
Приказ Министерства строительства, архитектуры и жилищно-коммунального хозяйства Республики Марий Эл от 03.06.2021 № 253
"О внесении изменений в приказ Министерства строительства, архитектуры и жилищно-коммунального хозяйства Республики Марий Эл от 16 июня 2020 г. № 255"
(Зарегистрирован 08.06.2021 № 120920210018)
Номер опубликования: 1201202106090004
Дата опубликования: 09.06.2021
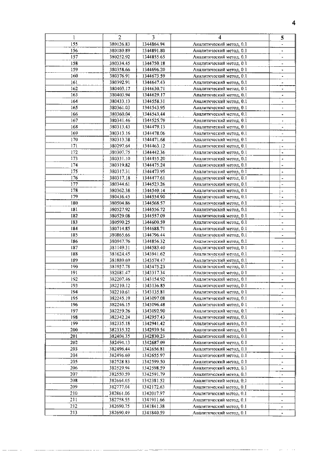
Страница №6 из 14:
Увеличить