Официальное опубликование правовых актов
ОФИЦИАЛЬНОЕ ОПУБЛИКОВАНИЕ
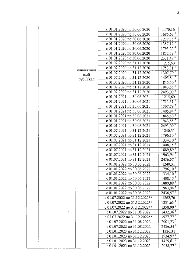
Приказ Министерства промышленности, экономического развития и торговли Республики Марий Эл от 24.11.2022 № 123 т
"О внесении изменений в некоторые приказы Министерства промышленности, экономического развития и торговли Республики Марий Эл"
(Зарегистрирован 29.11.2022 № 121220220151)
Номер опубликования: 1201202212050014
Дата опубликования: 05.12.2022
Страница №6 из 14:
Увеличить