Официальное опубликование правовых актов
ОФИЦИАЛЬНОЕ ОПУБЛИКОВАНИЕ
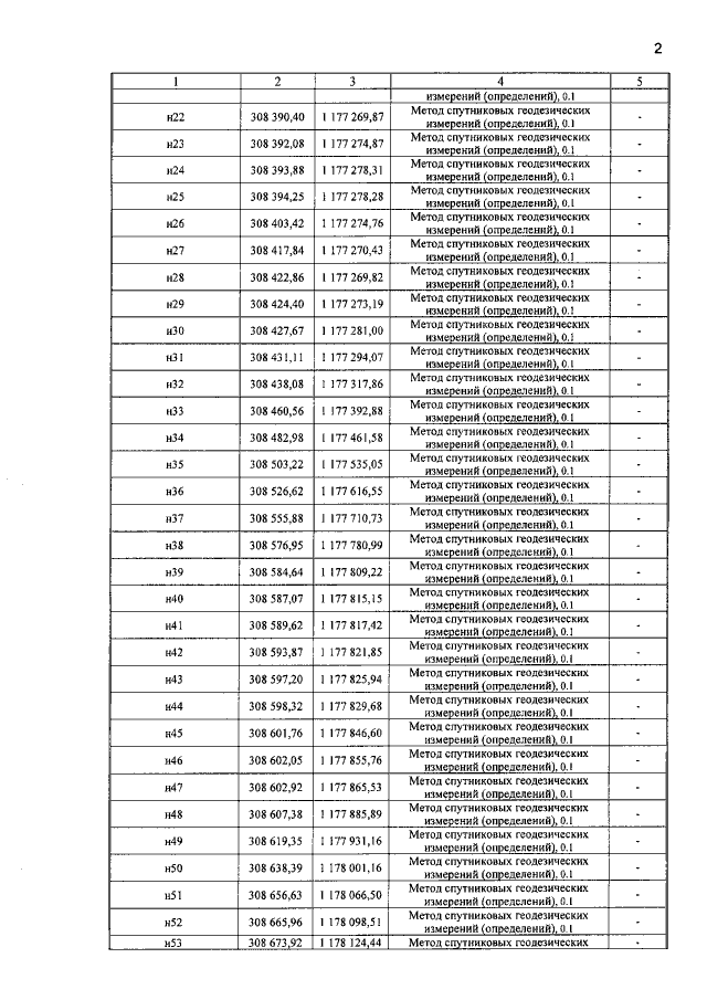
Приказ Министерства строительства, архитектуры и жилищно-коммунального хозяйства Республики Марий Эл от 26.12.2022 № 623
"Об утверждении границ охранных зон газораспределительных сетей и наложении ограничений (обременений) на входящие в них земельные участки"
(Зарегистрирован 12.01.2023 № 120920220081)
Номер опубликования: 1201202301130001
Дата опубликования: 13.01.2023
Страница №8 из 14:
Увеличить