Официальное опубликование правовых актов
ОФИЦИАЛЬНОЕ ОПУБЛИКОВАНИЕ
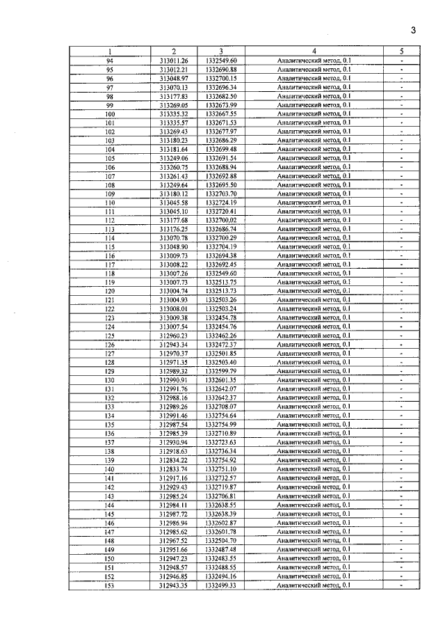
Приказ Министерства строительства, архитектуры и жилищно-коммунального хозяйства Республики Марий Эл от 26.12.2022 № 625
"Об утверждении границ охранных зон газораспределительных сетей и наложении ограничений (обременений) на входящие в них земельные участки"
(Зарегистрирован 16.01.2023 № 120920220082)
Номер опубликования: 1201202301170003
Дата опубликования: 17.01.2023
Страница №87 из 90:
Увеличить