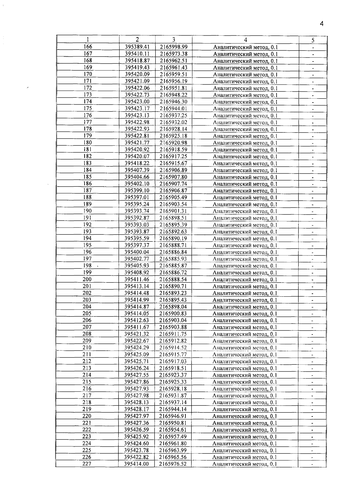
Приказ Министерства строительства, архитектуры и жилищно-коммунального хозяйства Республики Марий Эл от 06.02.2024 № 66
"Об утверждении границ охранных зон газораспределительных сетей и наложении ограничений (обременений) на входящие в них земельные участки"
(Зарегистрирован 13.02.2024 № 120920240010)
"Об утверждении границ охранных зон газораспределительных сетей и наложении ограничений (обременений) на входящие в них земельные участки"
(Зарегистрирован 13.02.2024 № 120920240010)
Номер опубликования: 1201202402130003
Дата опубликования:
13.02.2024
