Официальное опубликование правовых актов
ОФИЦИАЛЬНОЕ ОПУБЛИКОВАНИЕ
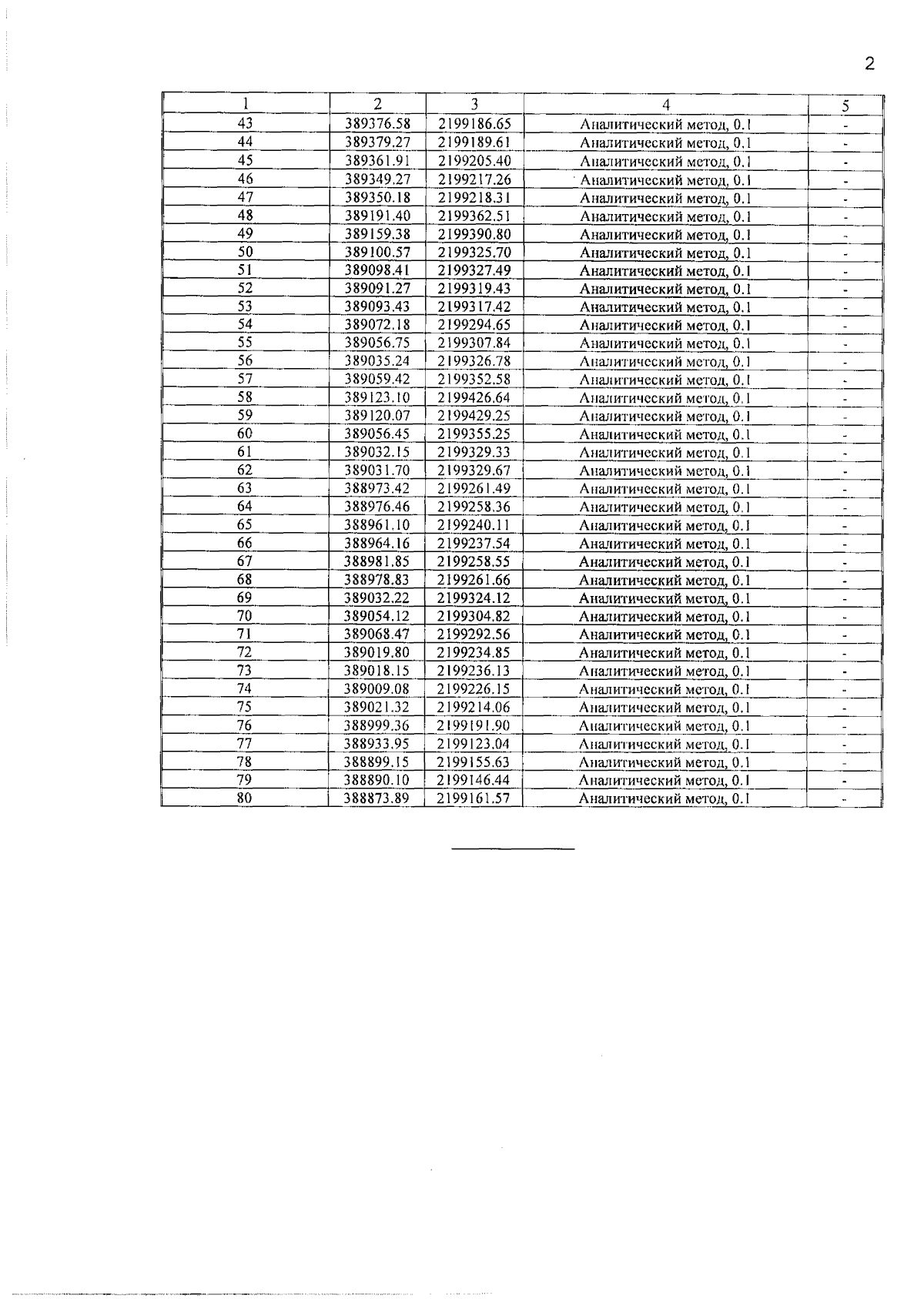
Приказ Министерства строительства, архитектуры и жилищно-коммунального хозяйства Республики Марий Эл от 29.05.2024 № 286
"Об утверждении границ охранных зон газораспределительных сетей и наложении ограничений (обременений) на входящие в них земельные участки"
(Зарегистрирован 06.06.2024 № 120920240060)
Номер опубликования: 1201202406100009
Дата опубликования: 10.06.2024
Страница №41 из 61:
Увеличить