Официальное опубликование правовых актов
ОФИЦИАЛЬНОЕ ОПУБЛИКОВАНИЕ
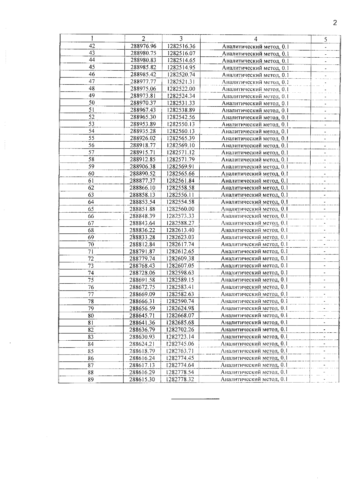
Приказ Министерства строительства, архитектуры и жилищно-коммунального хозяйства Республики Марий Эл от 24.06.2025 № 302
"Об утверждении границ охранных зон газораспределительных сетей и наложении ограничений (обременений) на входящие в них земельные участки"
(Зарегистрирован 27.06.2025 № 120920250038)
Номер опубликования: 1201202507030003
Дата опубликования: 03.07.2025
Страница №28 из 32:
Увеличить