Официальное опубликование правовых актов
ОФИЦИАЛЬНОЕ ОПУБЛИКОВАНИЕ
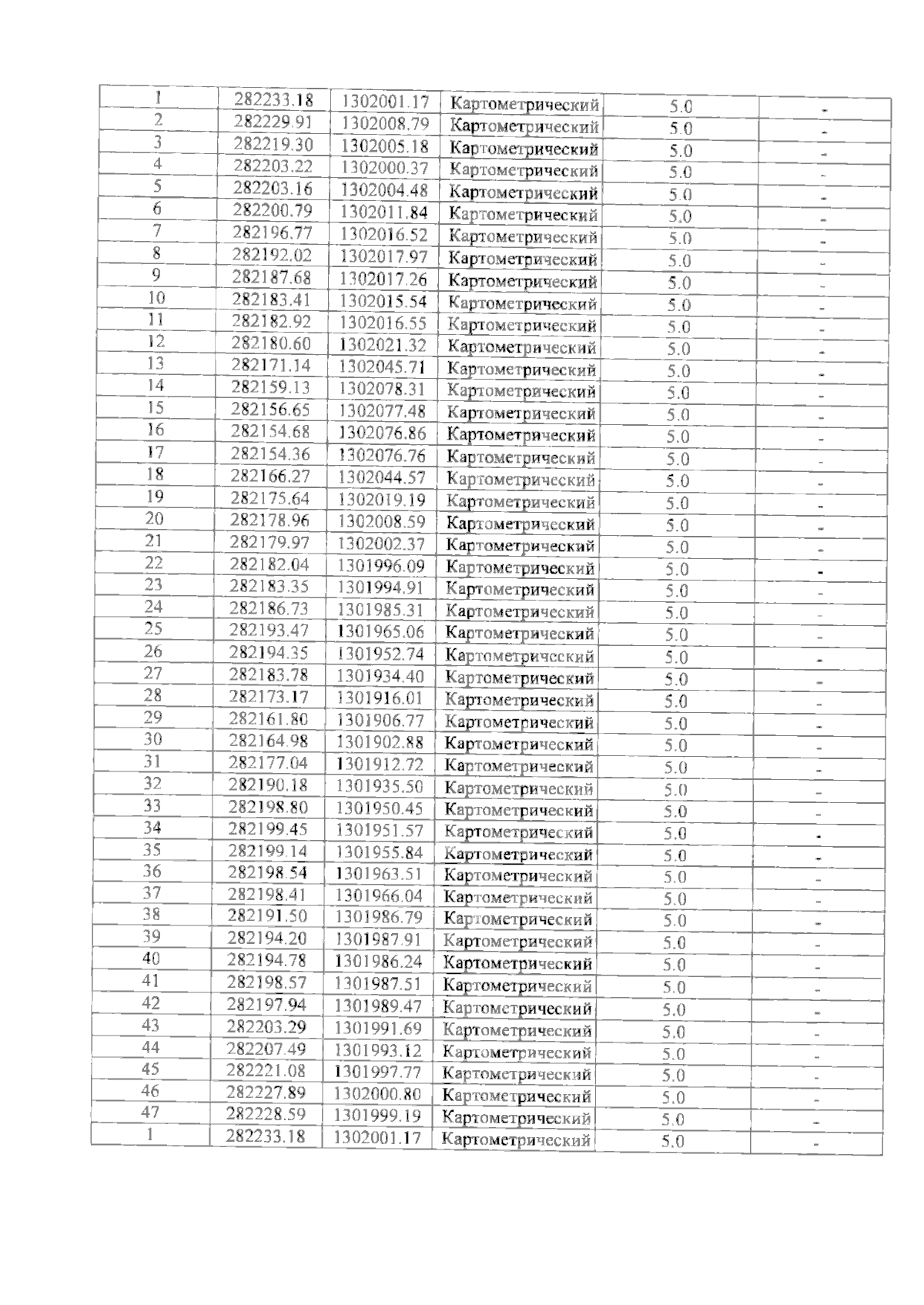
Приказ Министерства природных ресурсов, экологии и охраны окружающей среды Республики Марий Эл от 22.10.2025 № 410
"Об утверждении Проектной документации по изменению границ земель, на которых располагаются леса, расположенные в лесопарковых зонах Алексеевского лесничества Республики Марий Эл"
(Зарегистрирован 29.10.2025 № 120420250017)
Номер опубликования: 1201202510290003
Дата опубликования: 29.10.2025
Страница №7 из 13:
Увеличить