Приказ Министерства промышленности, экономического развития и торговли Республики Марий Эл от 19.12.2025 № 192 т
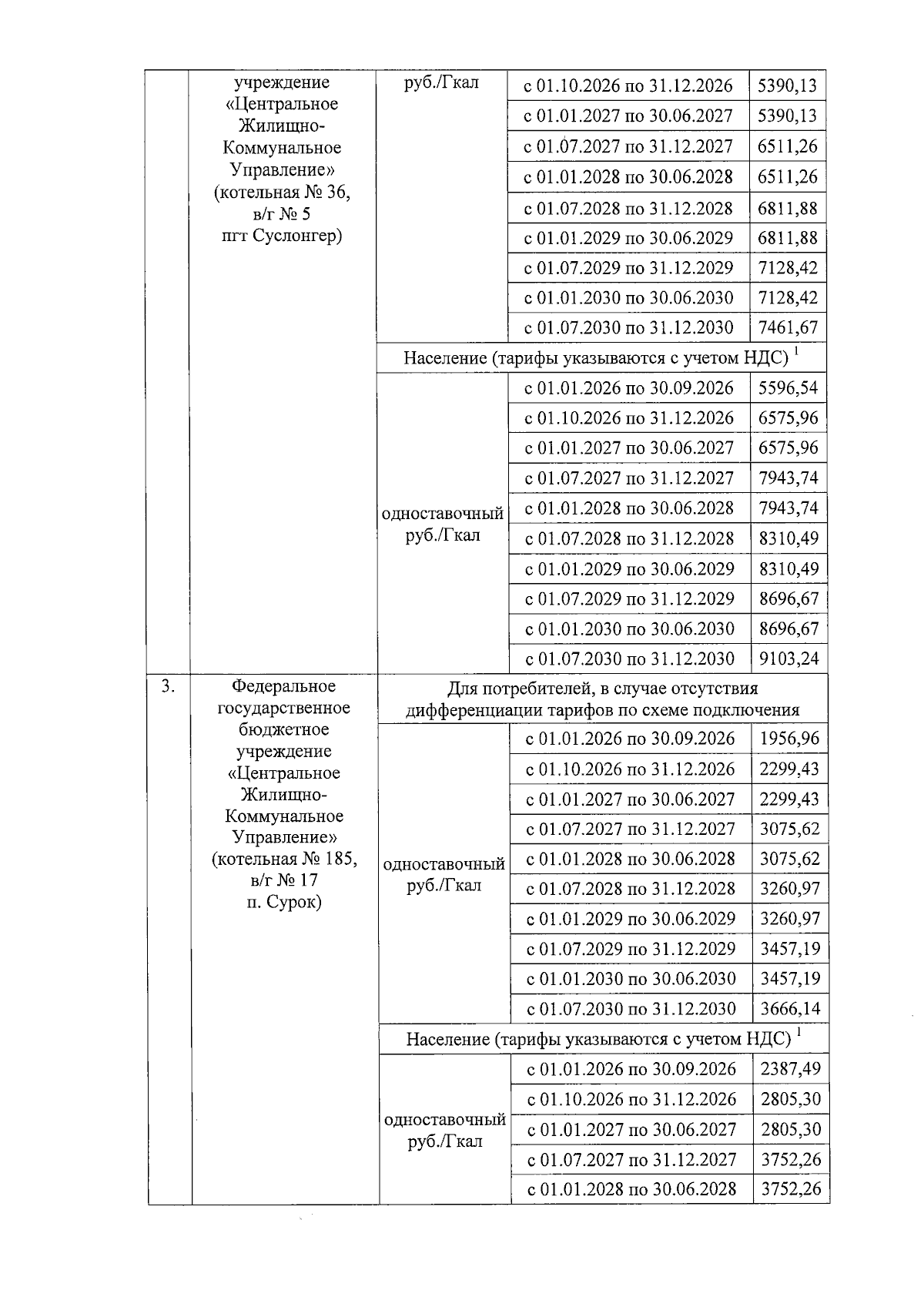
"Об установлении тарифов на тепловую энергию (мощность), поставляемую потребителям Федеральным государственным бюджетным учреждением "Центральное Жилищно-Коммунальное Управление" на территории Республики Марий Эл, на 2026 - 2030 годы"
(Зарегистрирован 27.12.2025 № 121220250158)
"Об установлении тарифов на тепловую энергию (мощность), поставляемую потребителям Федеральным государственным бюджетным учреждением "Центральное Жилищно-Коммунальное Управление" на территории Республики Марий Эл, на 2026 - 2030 годы"
(Зарегистрирован 27.12.2025 № 121220250158)
Номер опубликования: 1201202512290024
Дата опубликования:
29.12.2025
