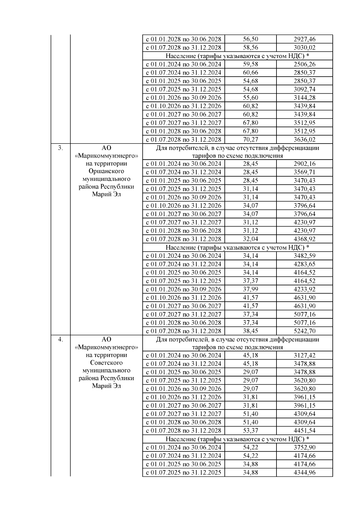
Приказ Министерства промышленности, экономического развития и торговли Республики Марий Эл от 19.12.2025 № 154 т
"О внесении изменений в некоторые приказы Министерства промышленности, экономического развития и торговли Республики Марий Эл"
(Зарегистрирован 27.12.2025 № 121220250169)
"О внесении изменений в некоторые приказы Министерства промышленности, экономического развития и торговли Республики Марий Эл"
(Зарегистрирован 27.12.2025 № 121220250169)
Номер опубликования: 1201202512290033
Дата опубликования:
29.12.2025
