Официальное опубликование правовых актов
ОФИЦИАЛЬНОЕ ОПУБЛИКОВАНИЕ
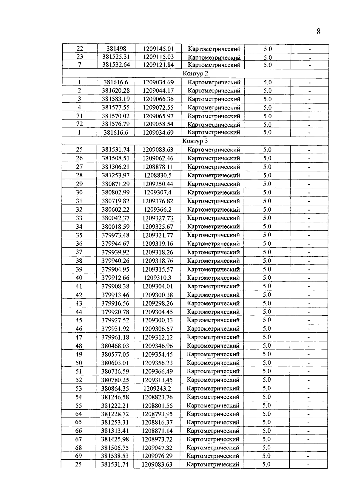
Приказ Министерства природных ресурсов, экологии и охраны окружающей среды Республики Марий Эл от 02.04.2026 № 127
"Об утверждении Проектной документации по изменению границ земель, на которых располагаются леса, расположенные в лесопарковых и зеленых зонах Килемарского лесничества Республики Марий Эл"
(Зарегистрирован 13.04.2026 № 120420260011)
Номер опубликования: 1201202604140002
Дата опубликования: 14.04.2026
Страница №28 из 41:
Увеличить