Официальное опубликование правовых актов
ОФИЦИАЛЬНОЕ ОПУБЛИКОВАНИЕ
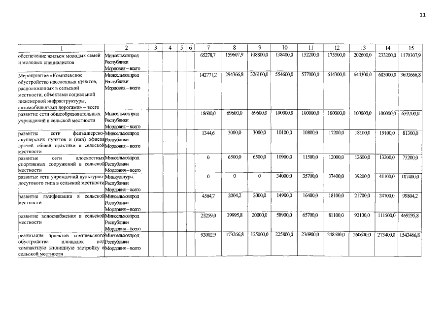
Постановление Правительства Республики Мордовия от 08.12.2014 № 598
"О внесении изменений в Государственную программу устойчивого развития сельских территорий Республики Мордовия на 2014-2017 годы и на период до 2020 года"
Номер опубликования: 1300201412120017
Дата опубликования: 12.12.2014
Страница №11 из 19:
Увеличить