Официальное опубликование правовых актов
ОФИЦИАЛЬНОЕ ОПУБЛИКОВАНИЕ
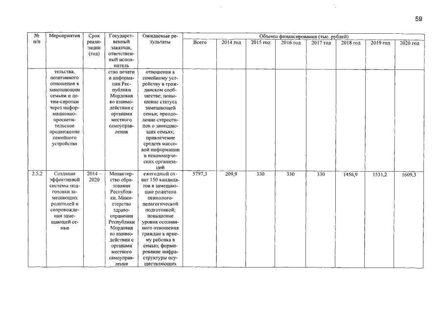
Постановление Правительства Республики Мордовия от 31.07.2015 № 456
"О внесении изменений в государственную программу Республики Мордовия "Развитие образования в Республике Мордовия" на 2014-2020 годы"
Номер опубликования: 1300201508040003
Дата опубликования: 04.08.2015
Страница №59 из 327:
Увеличить