Официальное опубликование правовых актов
ОФИЦИАЛЬНОЕ ОПУБЛИКОВАНИЕ
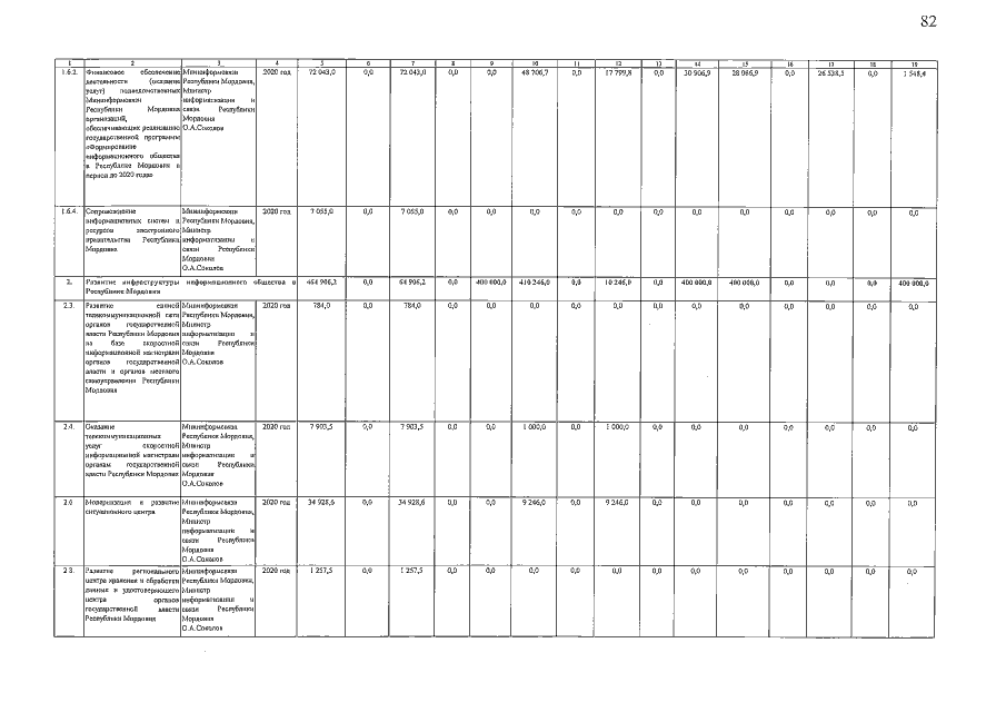
Постановление Правительства Республики Мордовия от 13.03.2017 № 172
"О внесении изменений в государственную программу Республики Мордовия "Формирование информационного общества в Республике Мордовия в период до 2020 года"
Номер опубликования: 1300201703160004
Дата опубликования: 16.03.2017
Страница №82 из 106:
Увеличить