Официальное опубликование правовых актов
ОФИЦИАЛЬНОЕ ОПУБЛИКОВАНИЕ
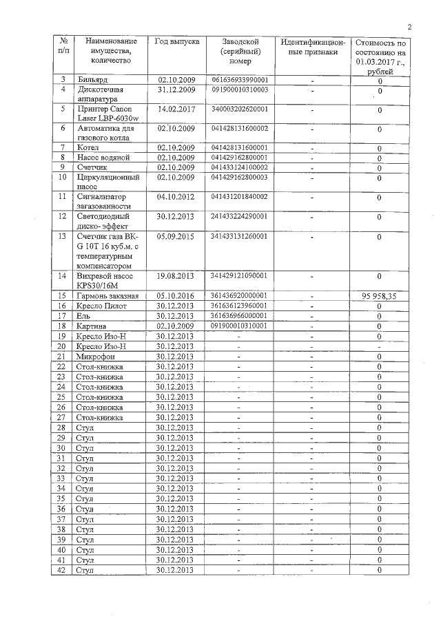
Постановление Правительства Республики Мордовия от 15.05.2017 № 297
"О разграничении имущества, находящегося в муниципальной собственности сельских поселений Ромодановского муниципального района Республики Мордовия, подлежащего передаче в муниципальную собственность Ромодановского муниципального района Республики Мордовия"
Номер опубликования: 1300201705170015
Дата опубликования: 17.05.2017
Страница №23 из 32:
Увеличить