Официальное опубликование правовых актов
ОФИЦИАЛЬНОЕ ОПУБЛИКОВАНИЕ
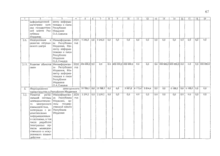
Постановление Правительства Республики Мордовия от 29.05.2017 № 331
"О внесении изменений в государственную программу Республики Мордовия "Формирование информационного общества в Республике Мордовия в период до 2020 года"
Номер опубликования: 1300201705310003
Дата опубликования: 31.05.2017
Страница №67 из 79:
Увеличить