Официальное опубликование правовых актов
ОФИЦИАЛЬНОЕ ОПУБЛИКОВАНИЕ
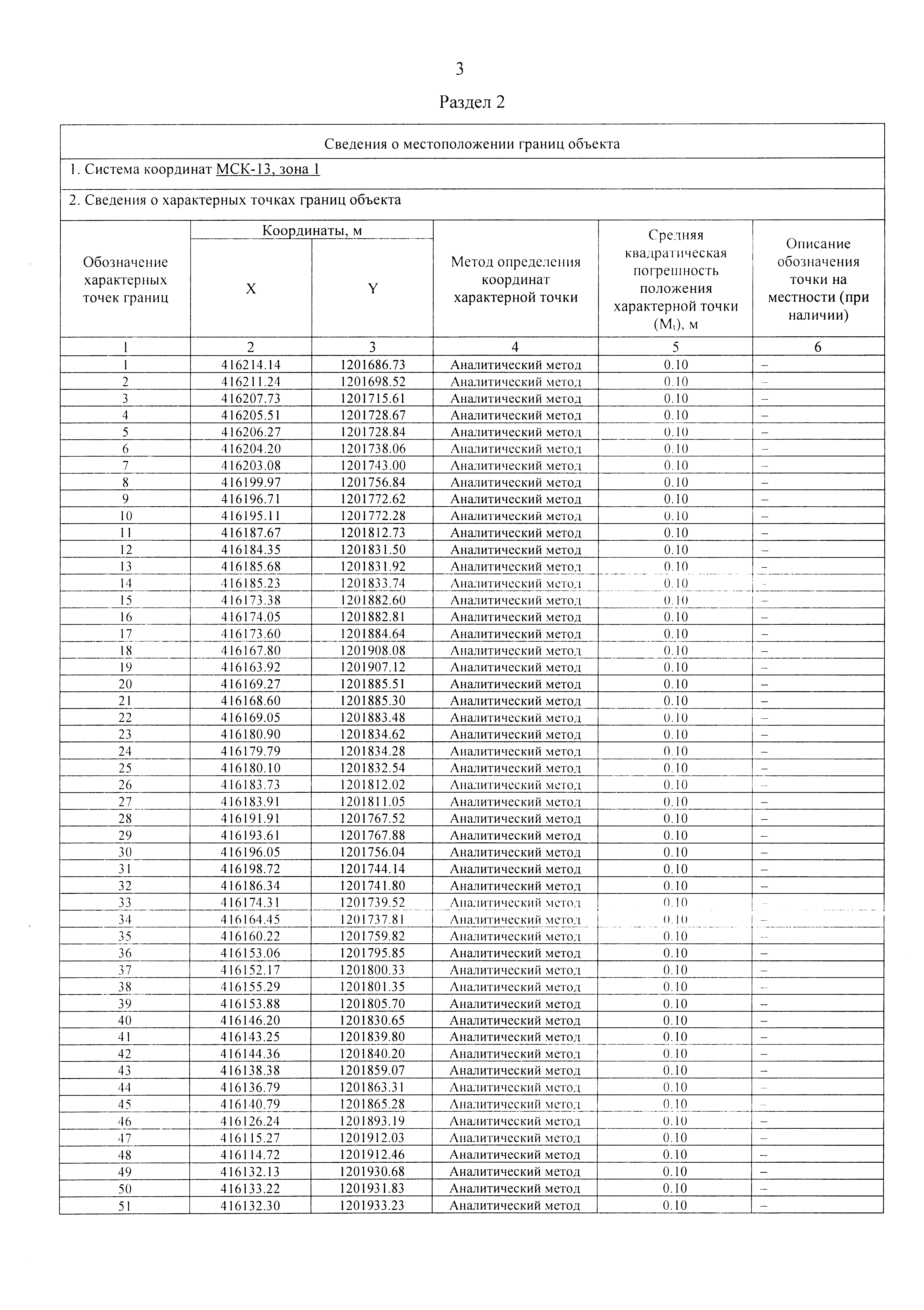
Постановление Правительства Республики Мордовия от 07.02.2025 № 113
"Об утверждении границы охранной зоны газораспределительной сети"
Номер опубликования: 1300202502110021
Дата опубликования: 11.02.2025
Страница №4 из 17: