Официальное опубликование правовых актов
ОФИЦИАЛЬНОЕ ОПУБЛИКОВАНИЕ
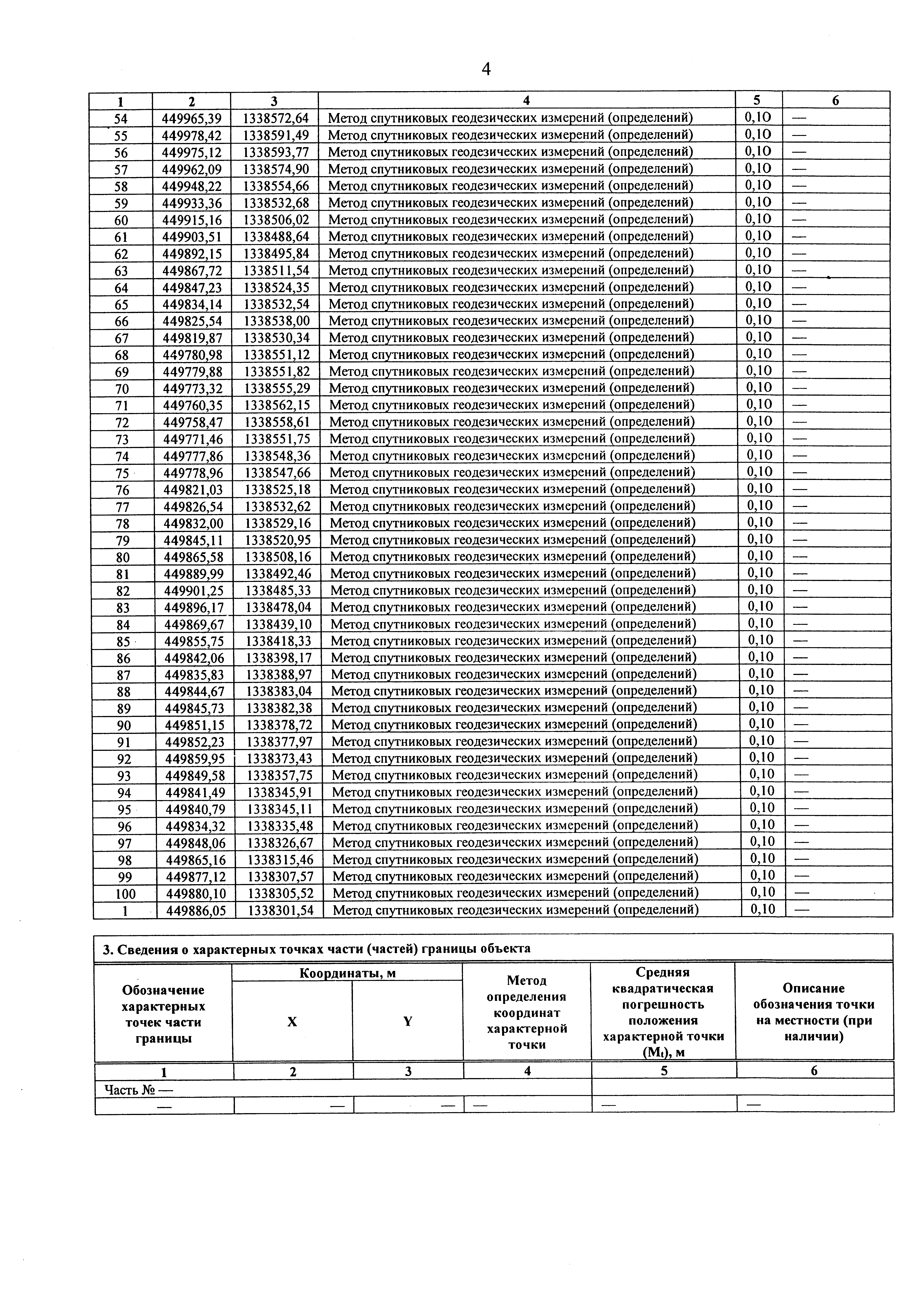
Постановление Правительства Республики Мордовия от 28.02.2025 № 276
"Об утверждении границы охранной зоны газораспределительной сети"
Номер опубликования: 1300202502280012
Дата опубликования: 28.02.2025
Страница №5 из 6: