Официальное опубликование правовых актов
ОФИЦИАЛЬНОЕ ОПУБЛИКОВАНИЕ
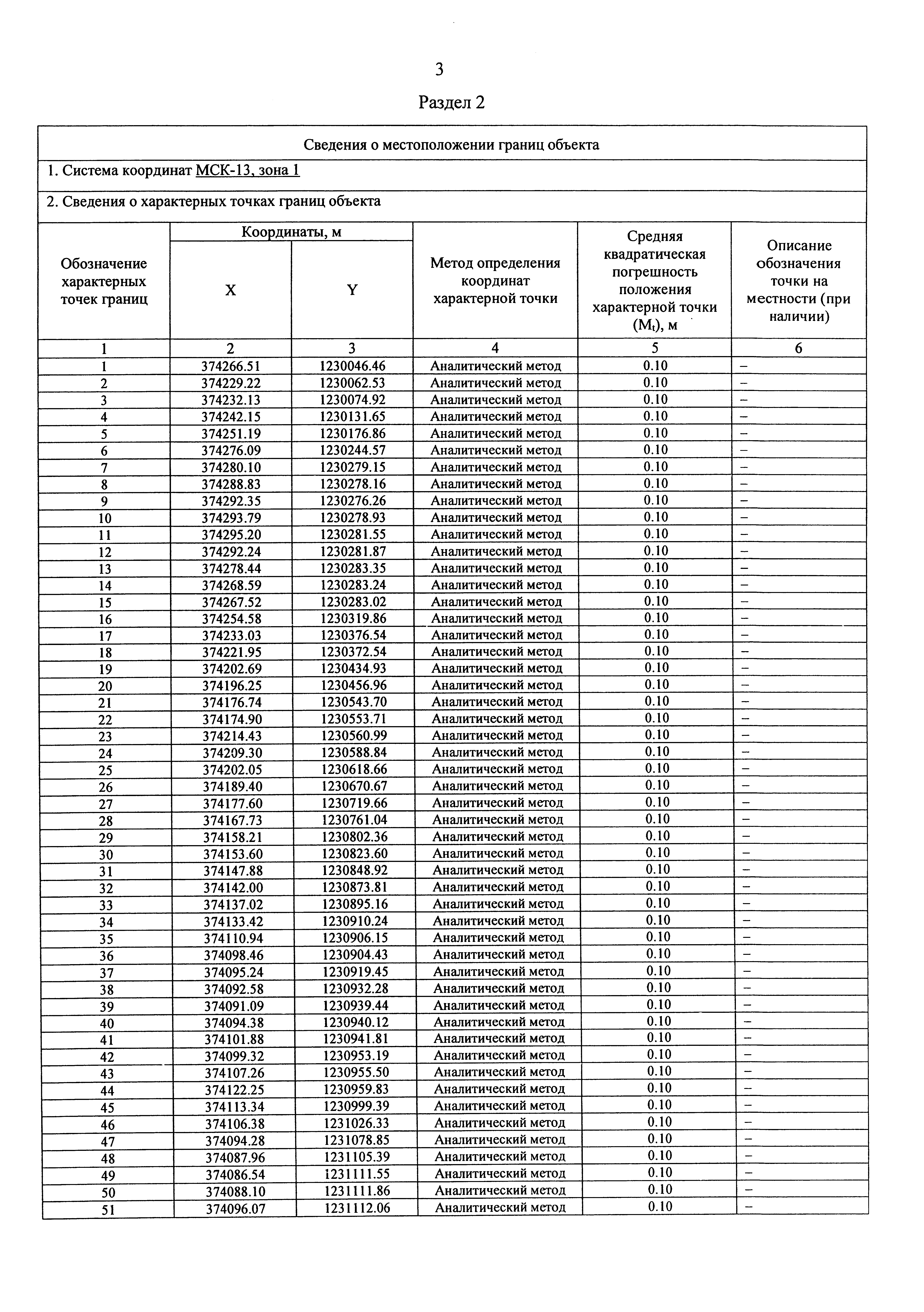
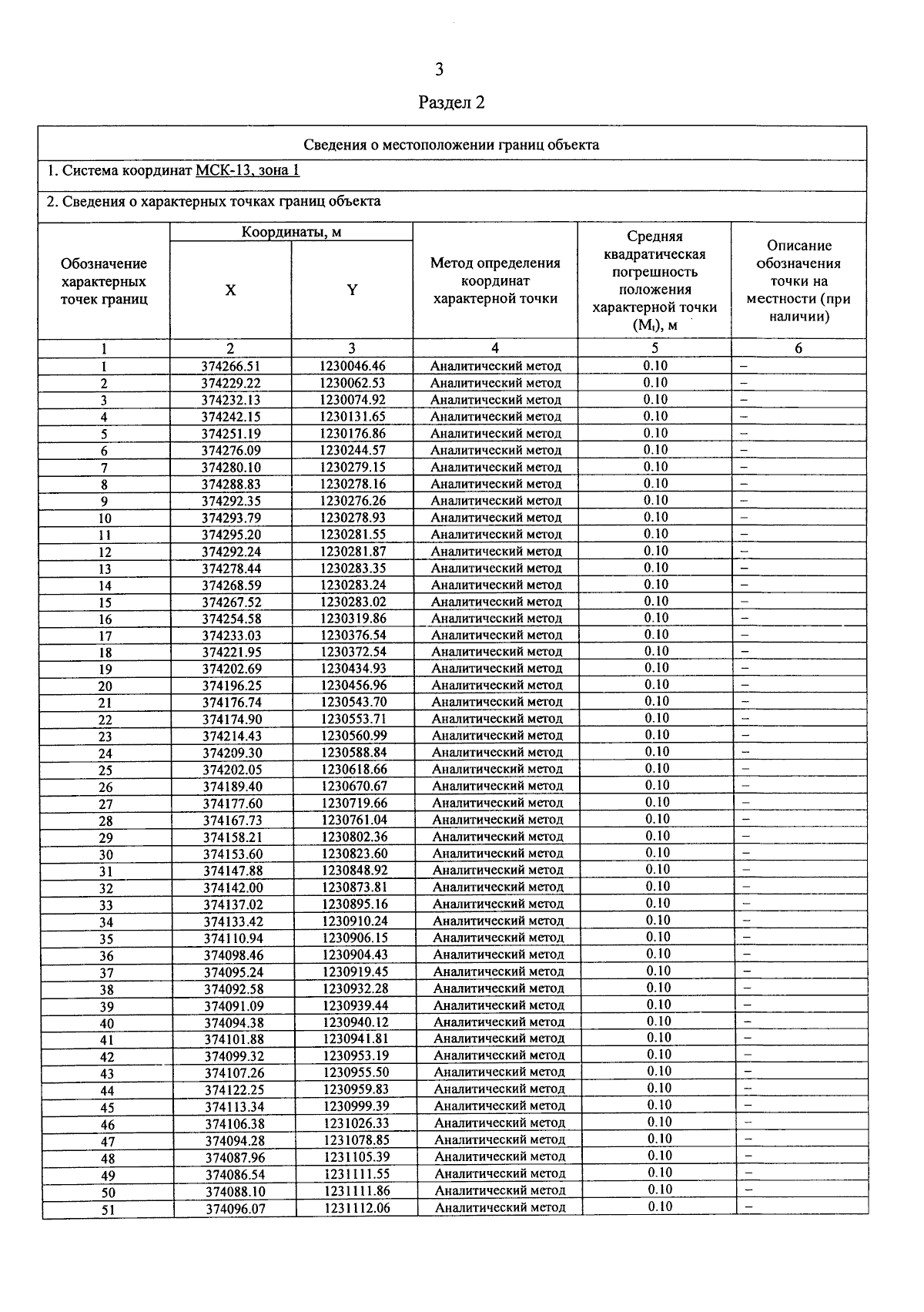
Постановление Правительства Республики Мордовия от 28.02.2025 № 298
"Об утверждении границы охранной зоны газораспределительной сети"
Номер опубликования: 1300202503030005
Дата опубликования: 03.03.2025
Страница №4 из 12: