Официальное опубликование правовых актов
ОФИЦИАЛЬНОЕ ОПУБЛИКОВАНИЕ
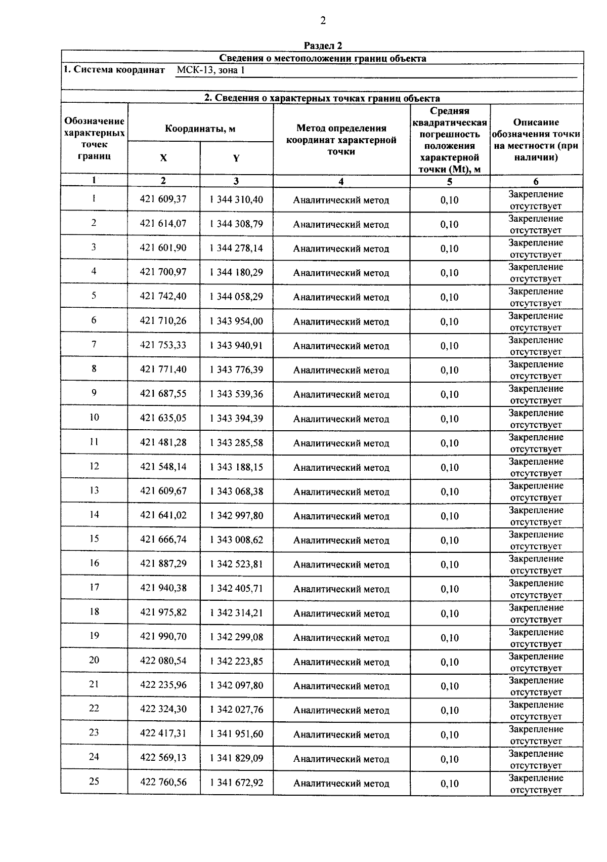
Постановление Правительства Республики Мордовия от 16.06.2025 № 510
"Об утверждении границы охранной зоны газораспределительной сети"
Номер опубликования: 1300202506180013
Дата опубликования: 18.06.2025
Страница №3 из 8:
Увеличить