Постановление Правительства Республики Мордовия от 25.09.2025 № 750
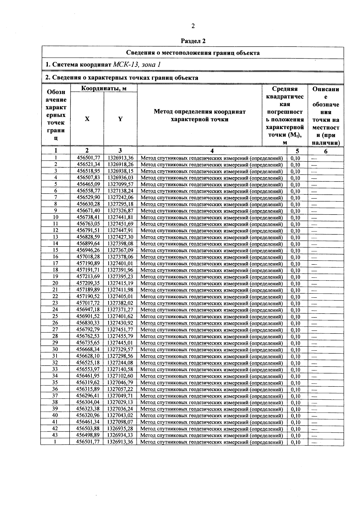
"Об утверждении границы охранной зоны газораспределительной сети"
"Об утверждении границы охранной зоны газораспределительной сети"
Номер опубликования: 1300202509250007
Дата опубликования:
25.09.2025
