Официальное опубликование правовых актов
ОФИЦИАЛЬНОЕ ОПУБЛИКОВАНИЕ
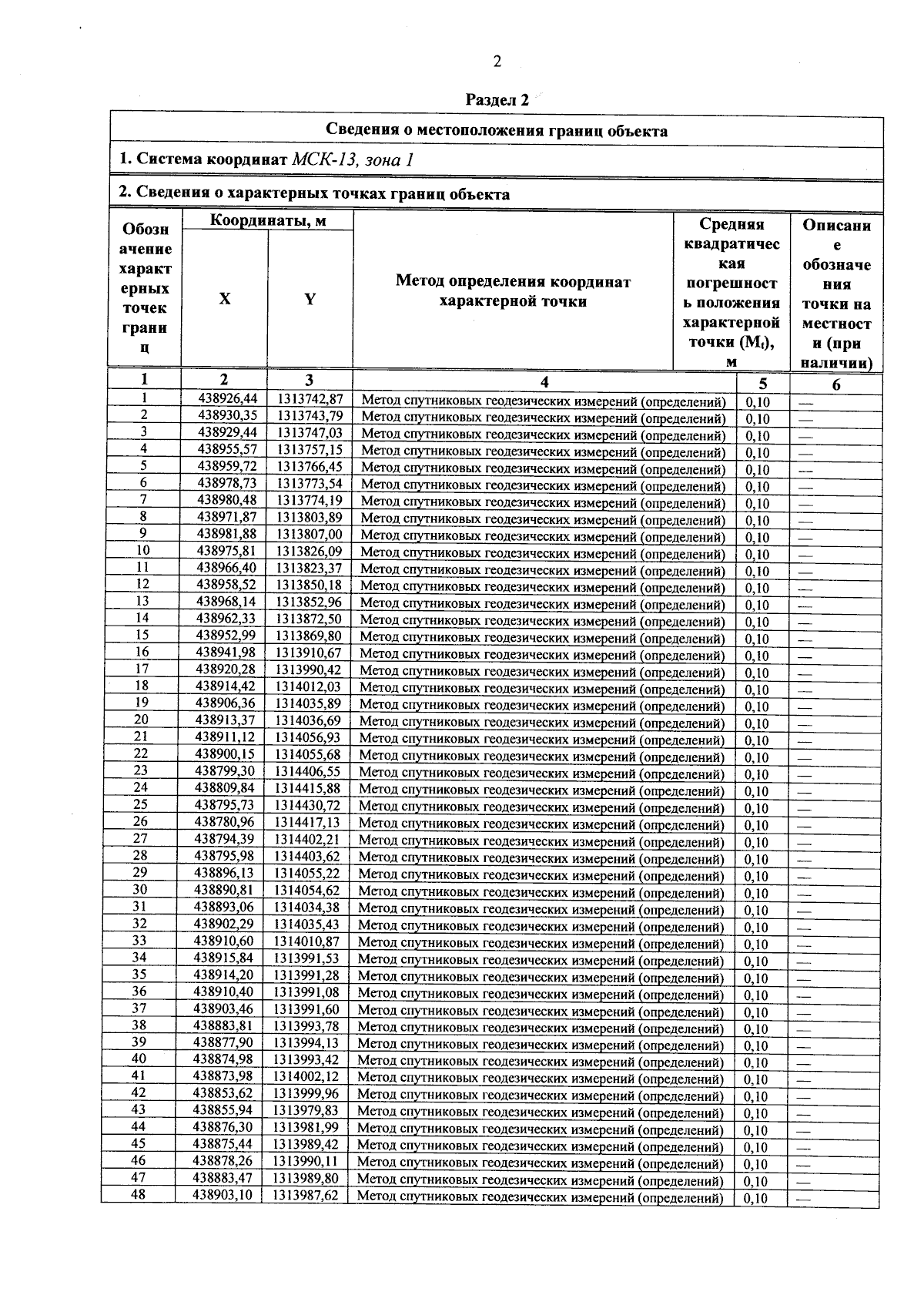
Постановление Правительства Республики Мордовия от 25.09.2025 № 744
"Об утверждении границы охранной зоны газораспределительной сети"
Номер опубликования: 1300202509250016
Дата опубликования: 25.09.2025
Страница №3 из 5: