Официальное опубликование правовых актов
ОФИЦИАЛЬНОЕ ОПУБЛИКОВАНИЕ
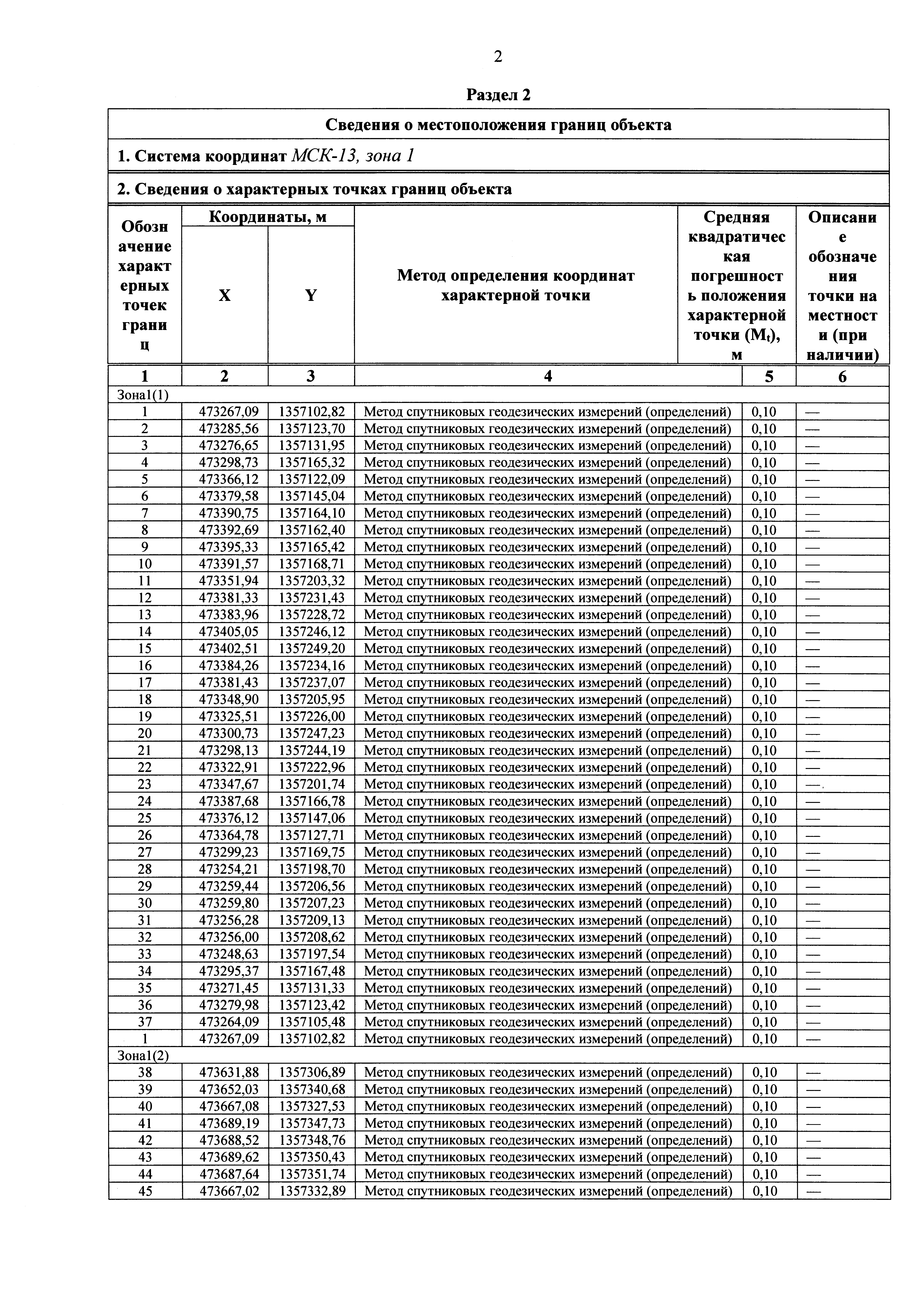
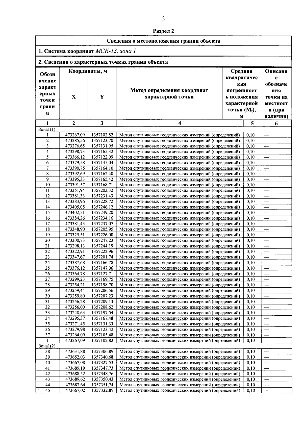
Постановление Правительства Республики Мордовия от 02.10.2025 № 777
"Об утверждении границы охранной зоны газораспределительной сети"
Номер опубликования: 1300202510030021
Дата опубликования: 03.10.2025
Страница №3 из 5: