Официальное опубликование правовых актов
ОФИЦИАЛЬНОЕ ОПУБЛИКОВАНИЕ
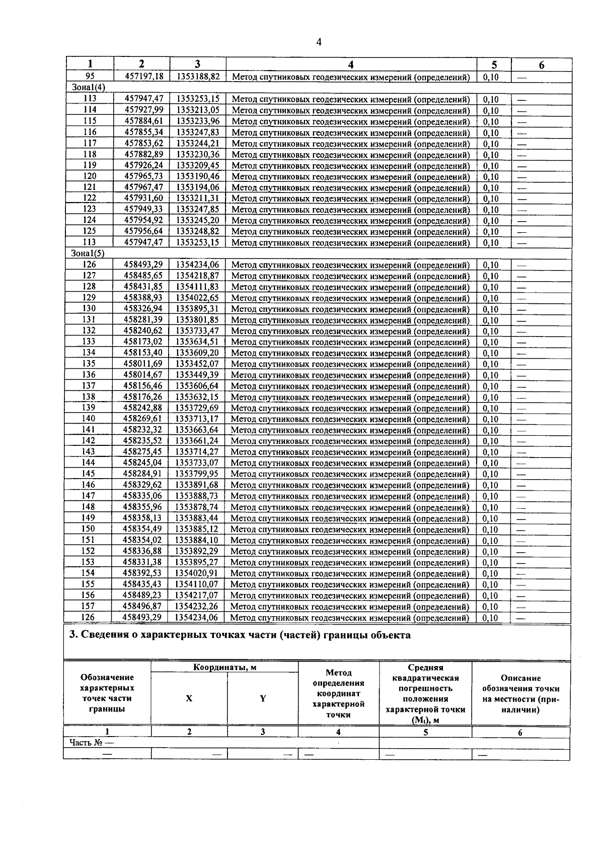
Постановление Правительства Республики Мордовия от 23.10.2025 № 824
"Об утверждении границы охранной зоны газораспределительной сети"
Номер опубликования: 1300202510240002
Дата опубликования: 24.10.2025
Страница №5 из 6:
Увеличить