Официальное опубликование правовых актов
ОФИЦИАЛЬНОЕ ОПУБЛИКОВАНИЕ
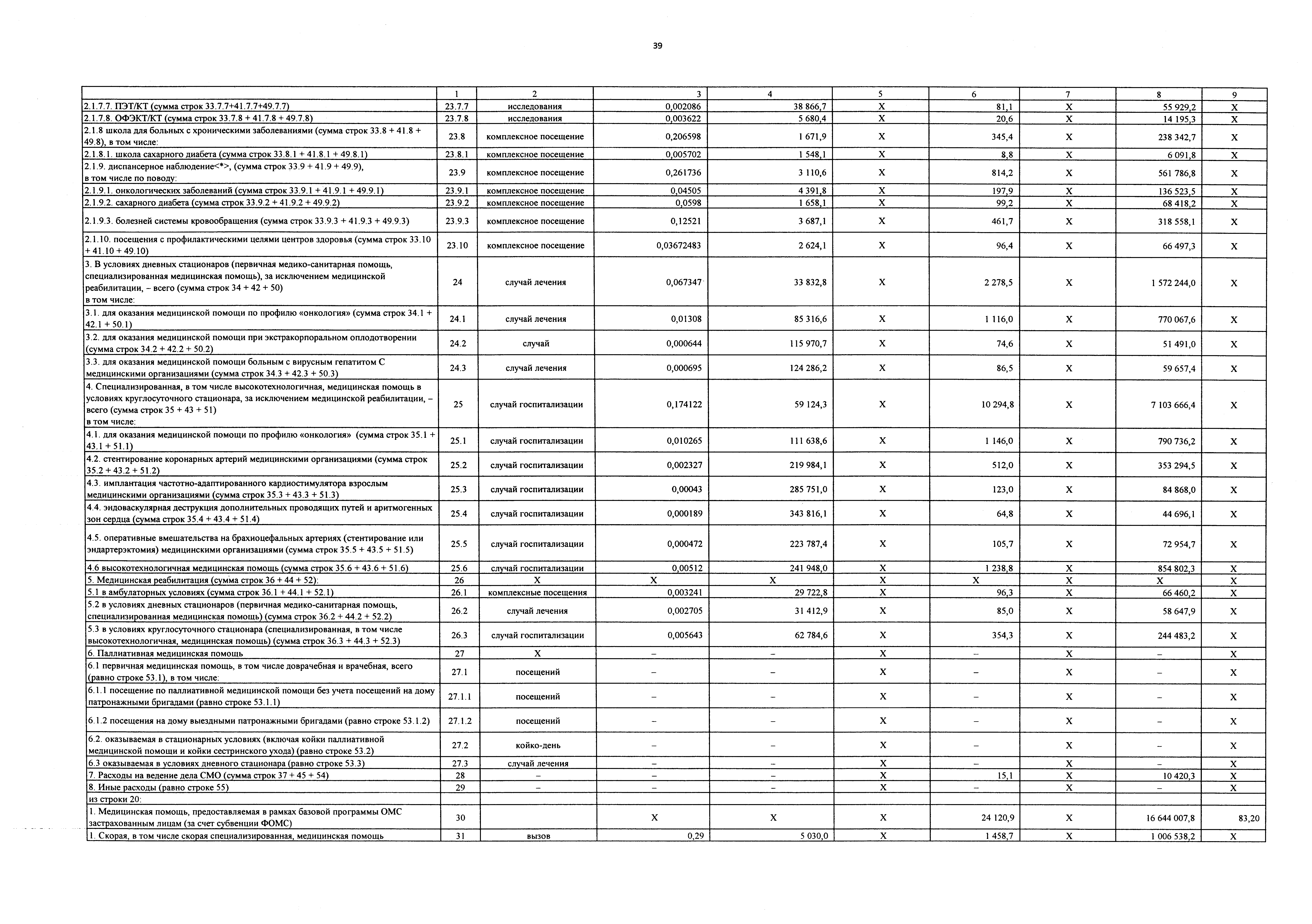
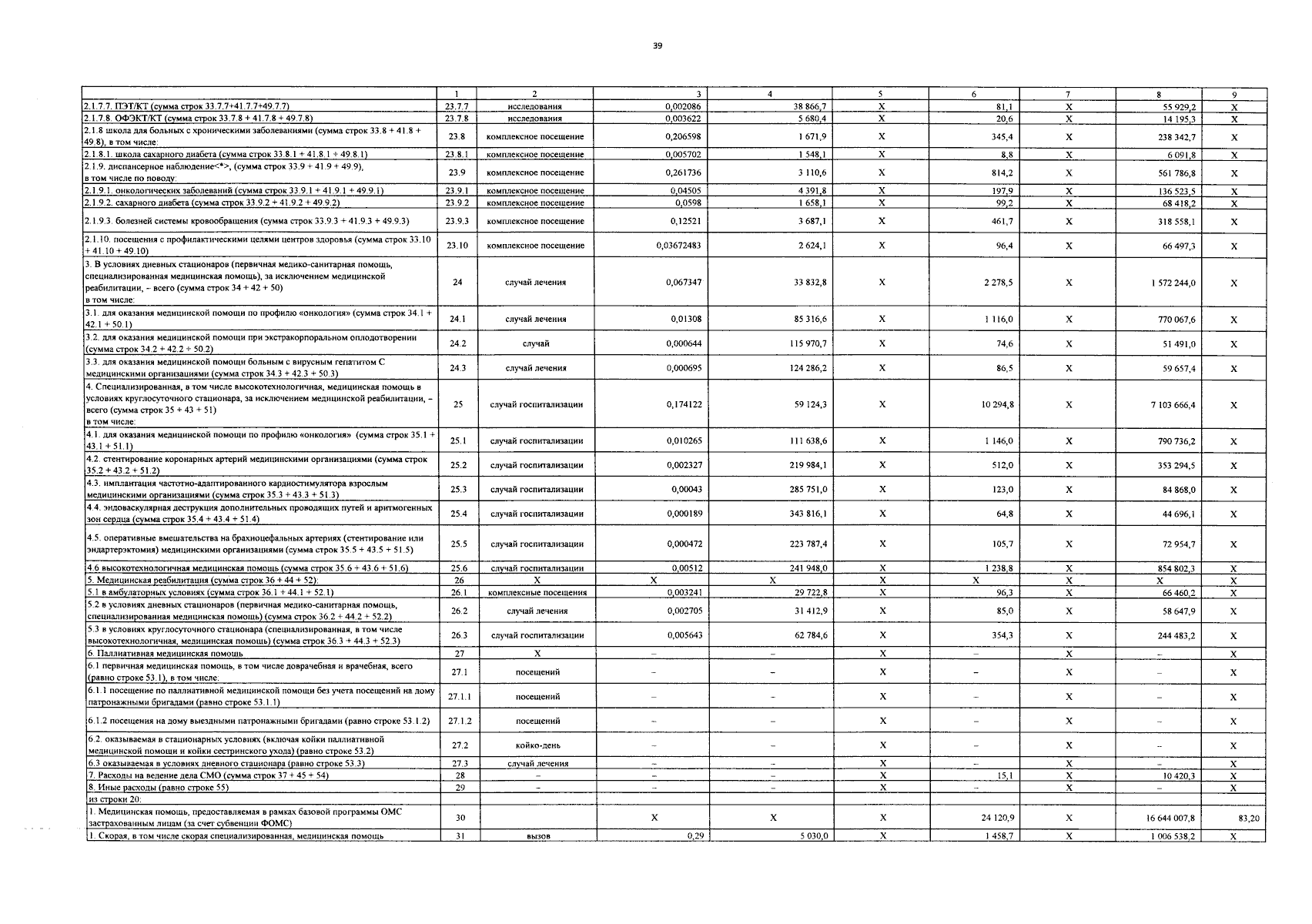
Постановление Правительства Республики Мордовия от 26.11.2025 № 879
"О внесении изменений в Республиканскую территориальную программу государственных гарантий бесплатного оказания населению Республики Мордовия медицинской помощи на 2025 год и на плановый период 2026 и 2027 годов"
Номер опубликования: 1300202511270001
Дата опубликования: 27.11.2025
Страница №39 из 49: