Официальное опубликование правовых актов
ОФИЦИАЛЬНОЕ ОПУБЛИКОВАНИЕ
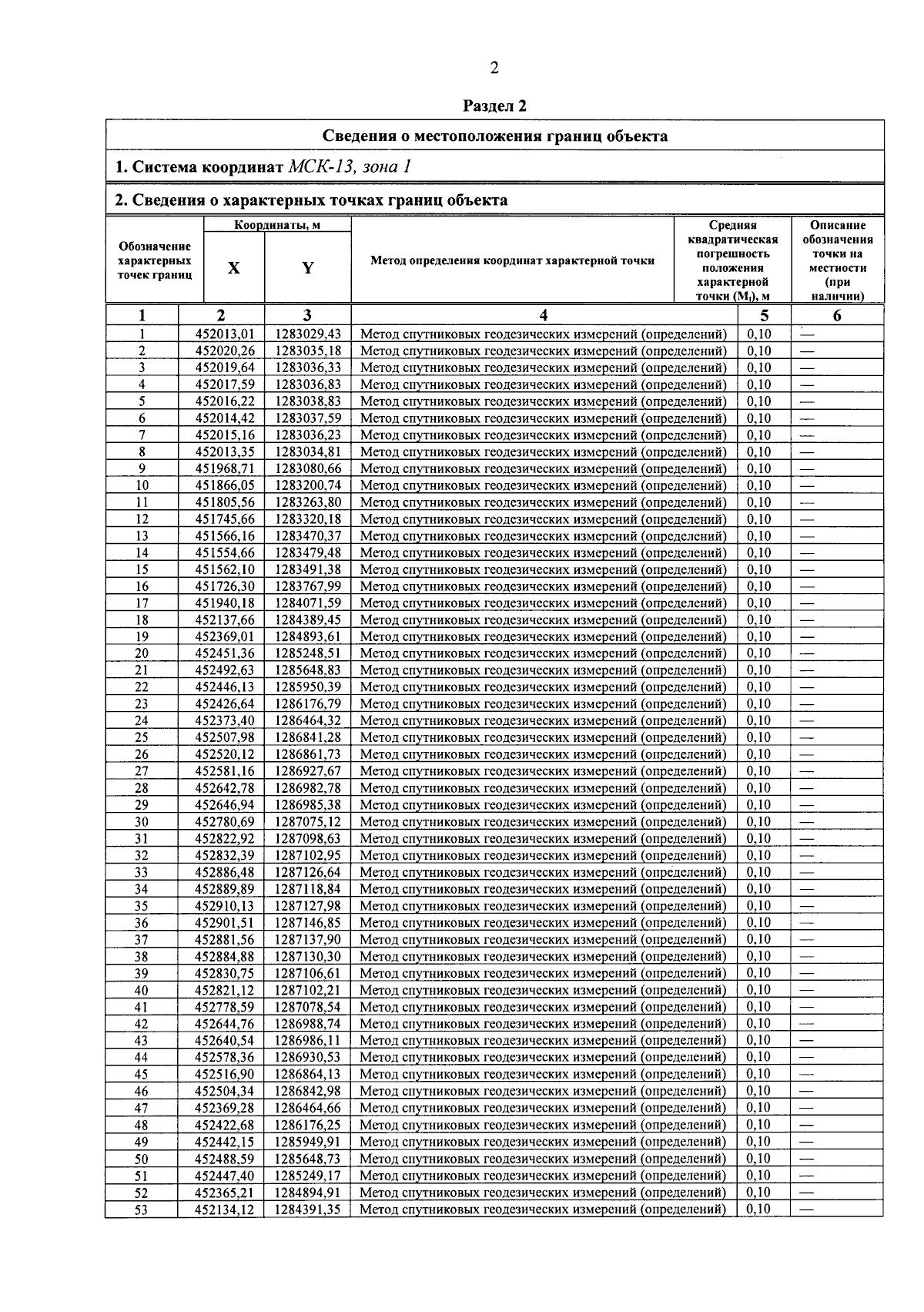
Постановление Правительства Республики Мордовия от 28.11.2025 № 884
"Об утверждении границы охранной зоны газораспределительной сети"
Номер опубликования: 1300202512010013
Дата опубликования: 01.12.2025
Страница №3 из 5: