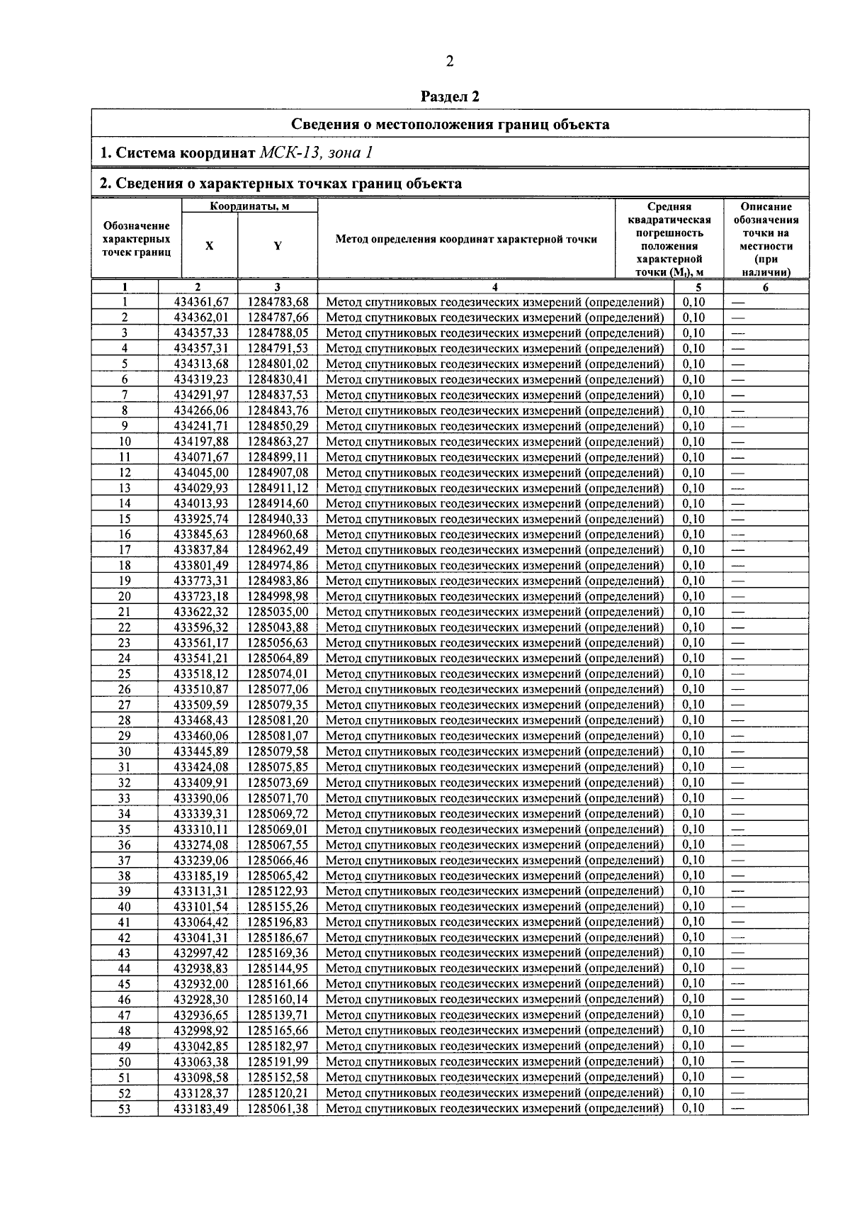
Постановление Правительства Республики Мордовия от 01.12.2025 № 909
"Об утверждении границы охранной зоны газораспределительной сети"
"Об утверждении границы охранной зоны газораспределительной сети"
Номер опубликования: 1300202512030017
Дата опубликования:
03.12.2025
