Официальное опубликование правовых актов
ОФИЦИАЛЬНОЕ ОПУБЛИКОВАНИЕ
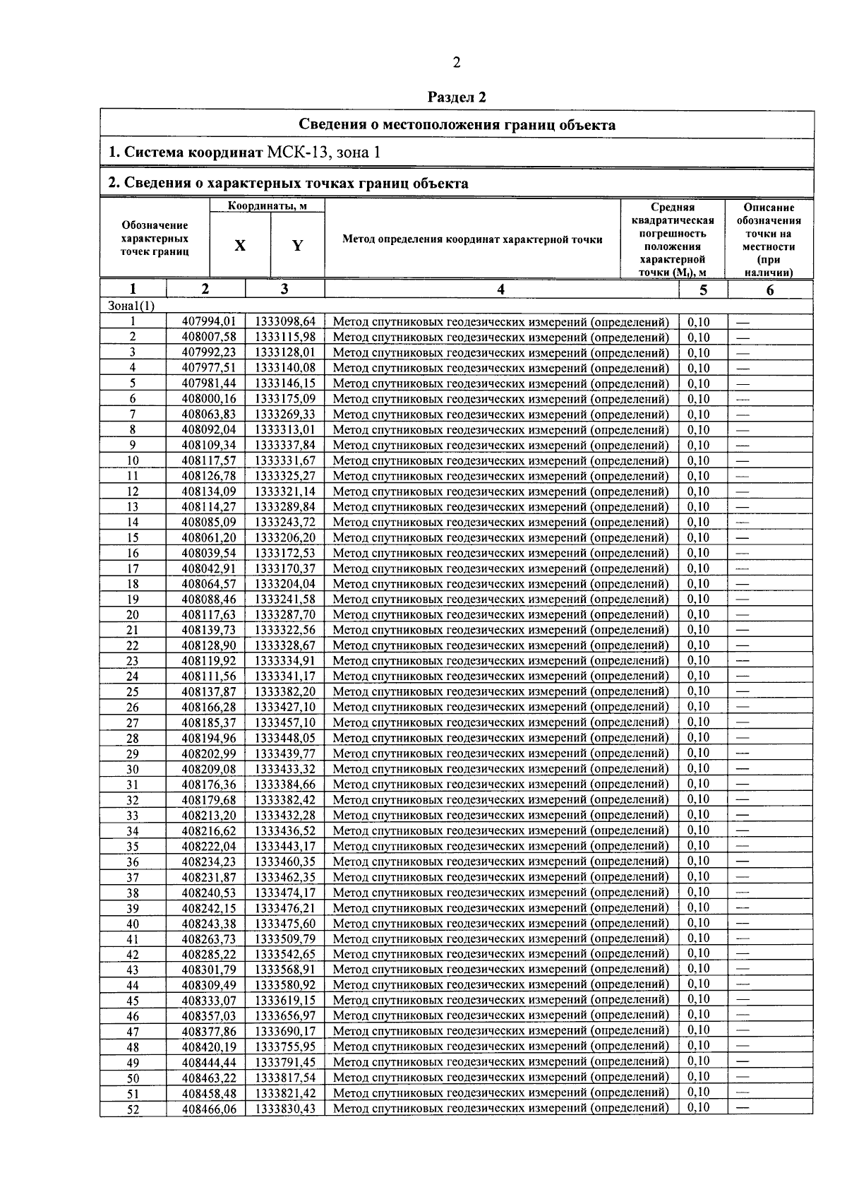
Постановление Правительства Республики Мордовия от 17.12.2025 № 949
"Об утверждении границы охранной зоны газораспределительной сети"
Номер опубликования: 1300202512180004
Дата опубликования: 18.12.2025
Страница №3 из 23: