Официальное опубликование правовых актов
ОФИЦИАЛЬНОЕ ОПУБЛИКОВАНИЕ
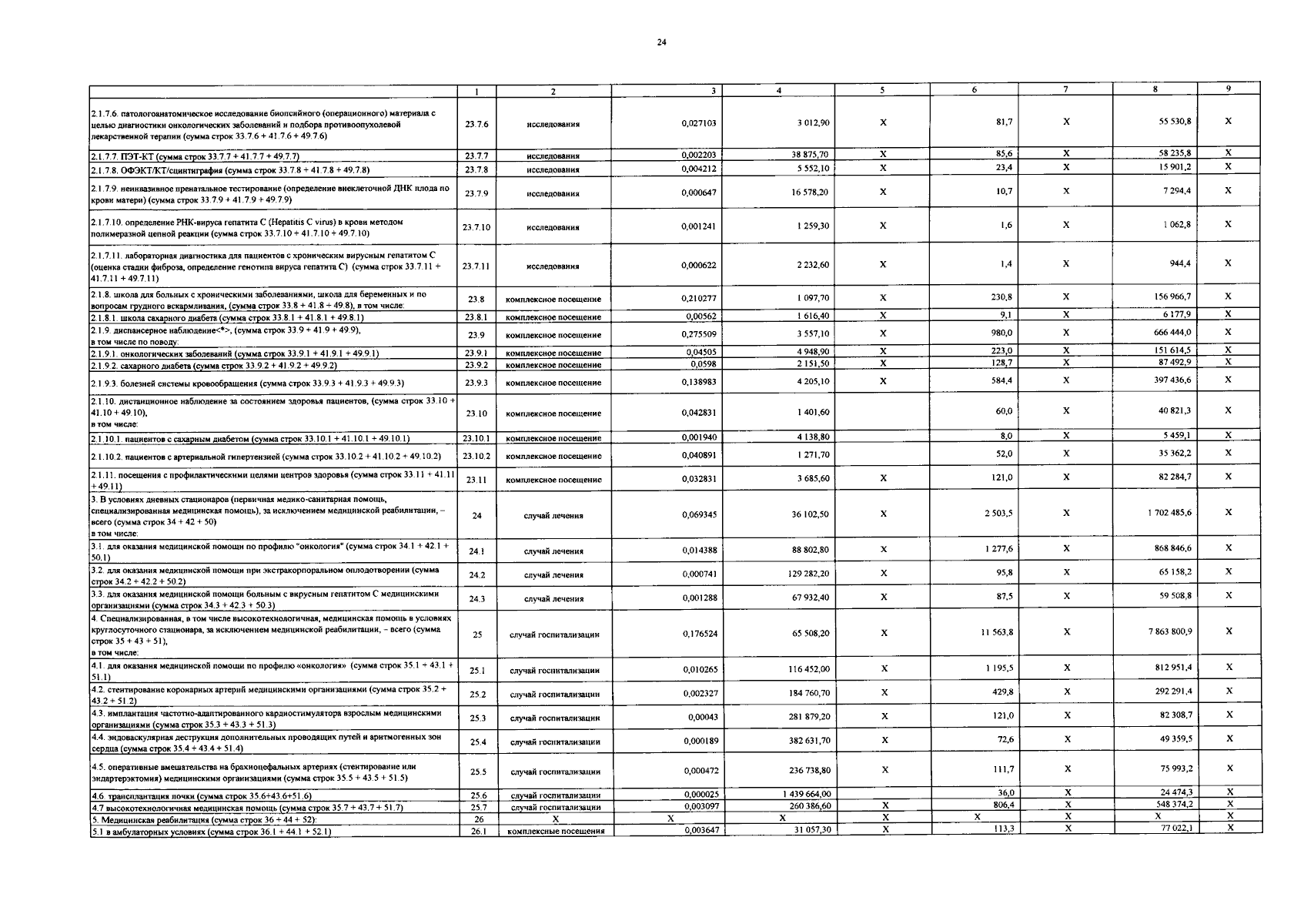
Постановление Правительства Республики Мордовия от 23.01.2026 № 13
"О Республиканской территориальной программе государственных гарантий бесплатного оказания населению Республики Мордовия медицинской помощи на 2026 год и на плановый период 2027 и 2028 годов и признании утратившими силу отдельных постановлений Правительства Республики Мордовия"
Номер опубликования: 1300202601260001
Дата опубликования: 26.01.2026
Страница №168 из 300:
Увеличить