Официальное опубликование правовых актов
ОФИЦИАЛЬНОЕ ОПУБЛИКОВАНИЕ
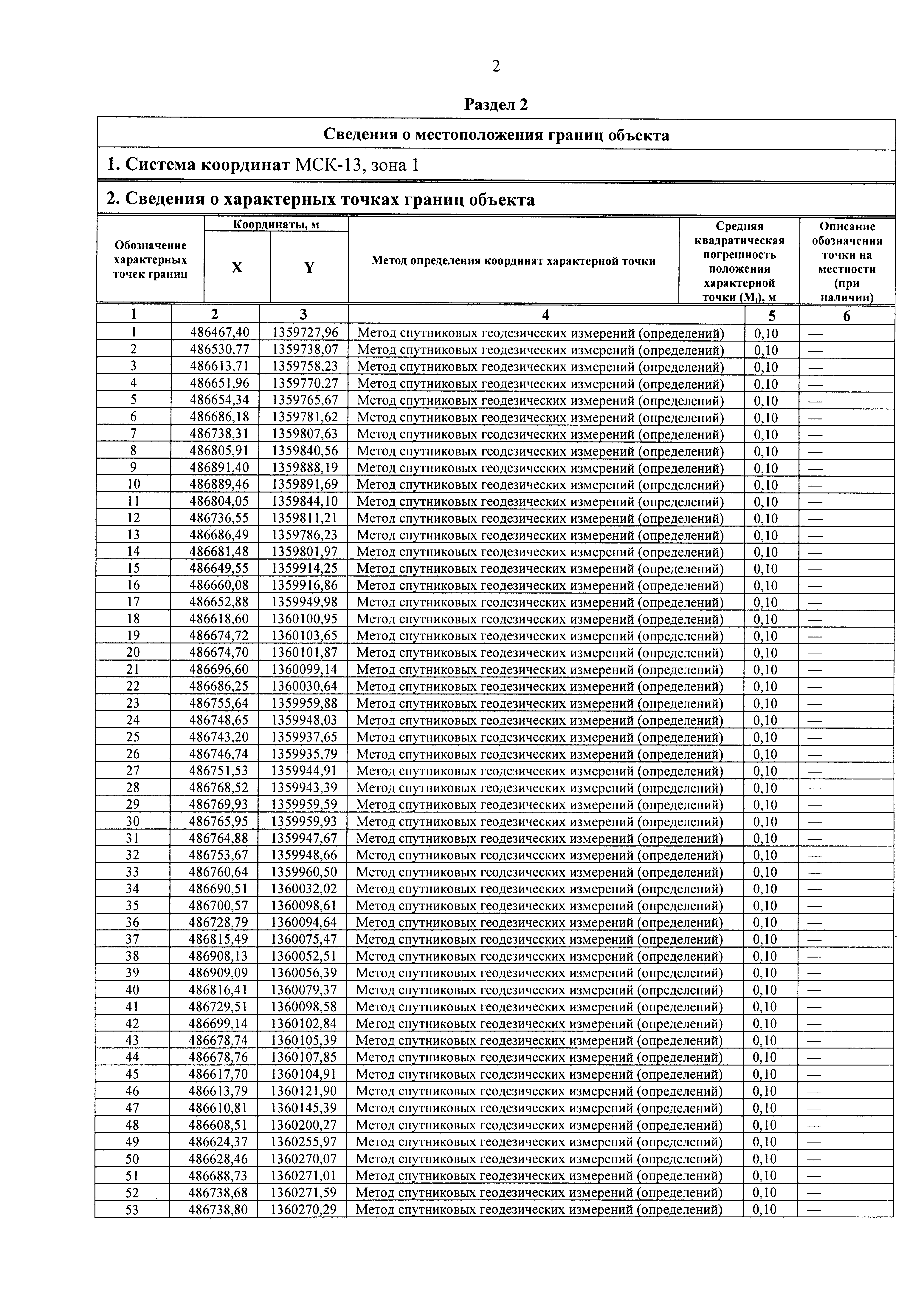
Постановление Правительства Республики Мордовия от 26.01.2026 № 24
"Об утверждении границы охранной зоны газораспределительной сети"
Номер опубликования: 1300202601270023
Дата опубликования: 27.01.2026
Страница №3 из 7: