Официальное опубликование правовых актов
ОФИЦИАЛЬНОЕ ОПУБЛИКОВАНИЕ
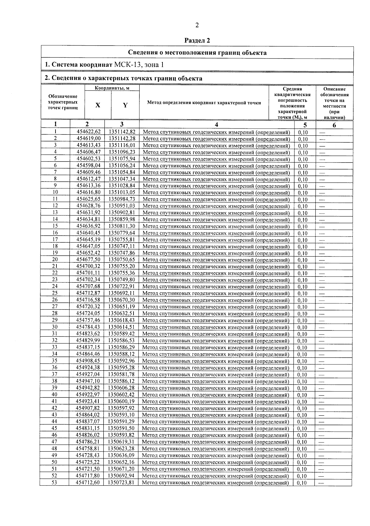
Постановление Правительства Республики Мордовия от 13.03.2026 № 229
"Об утверждении границы охранной зоны газораспределительной сети"
Номер опубликования: 1300202603160026
Дата опубликования: 16.03.2026
Страница №3 из 5: