Официальное опубликование правовых актов
ОФИЦИАЛЬНОЕ ОПУБЛИКОВАНИЕ
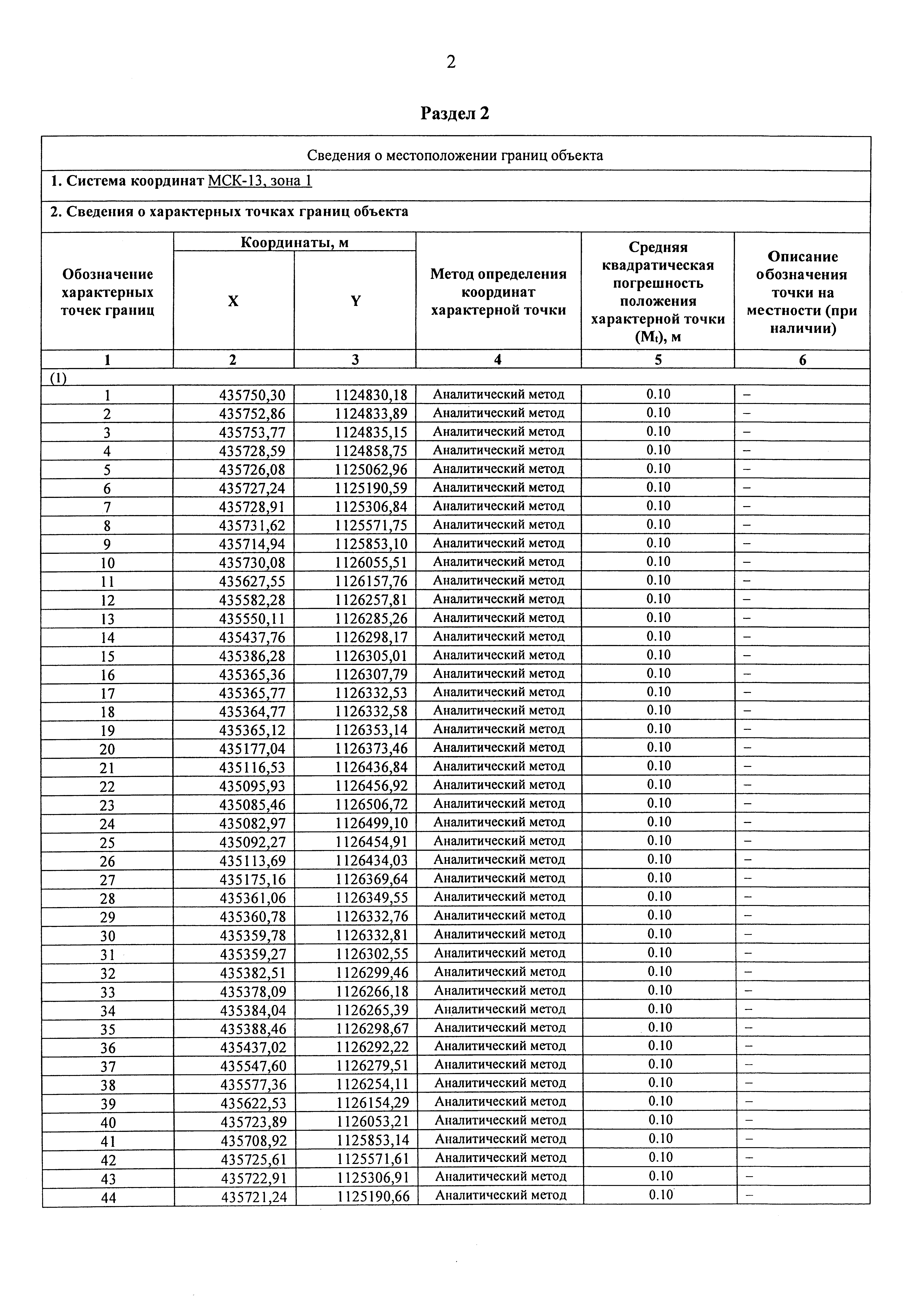
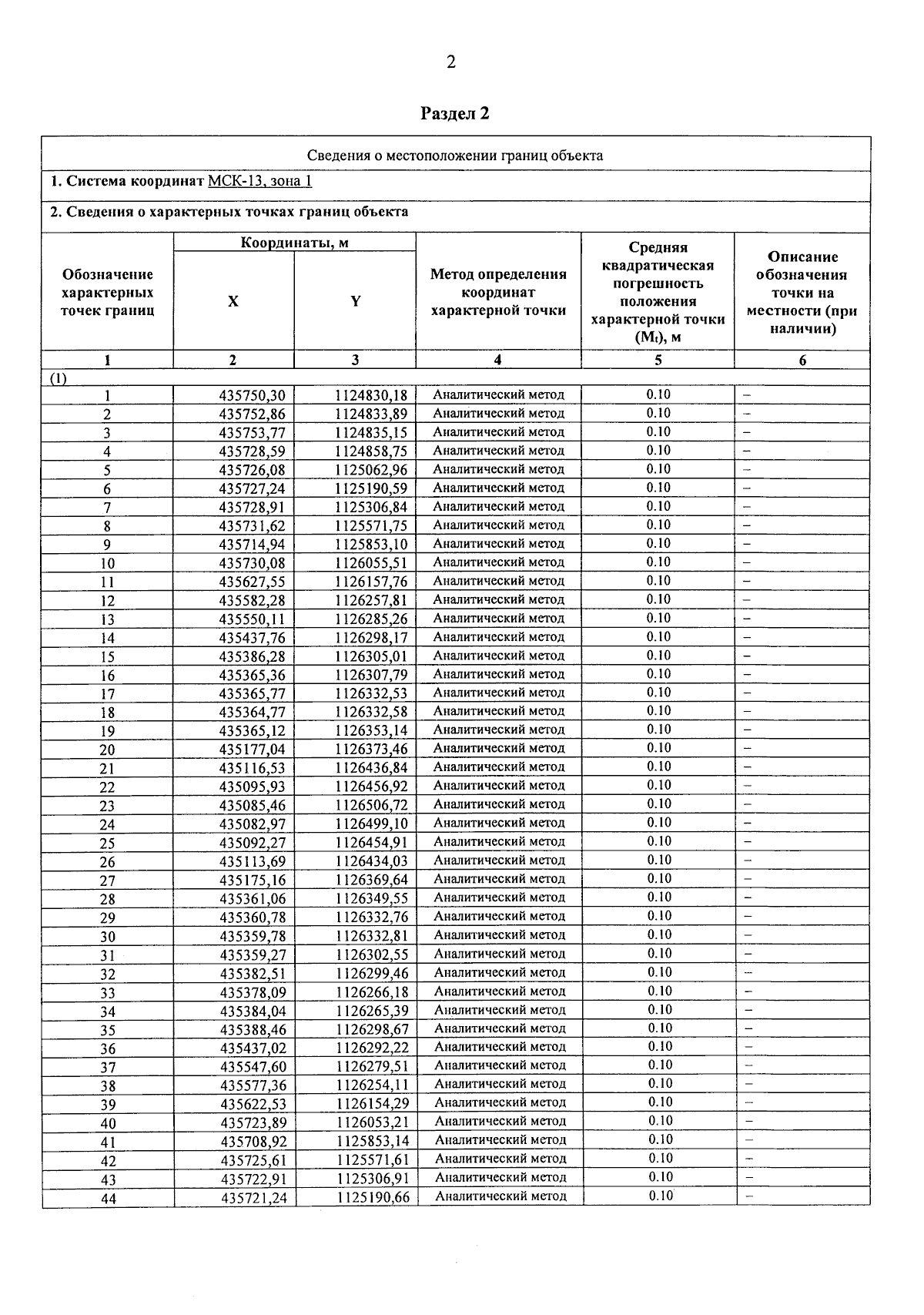
Постановление Правительства Республики Мордовия от 18.03.2026 № 242
"Об утверждении границы охранной зоны газораспределительной сети"
Номер опубликования: 1300202603190012
Дата опубликования: 19.03.2026
Страница №3 из 5: