Официальное опубликование правовых актов
ОФИЦИАЛЬНОЕ ОПУБЛИКОВАНИЕ
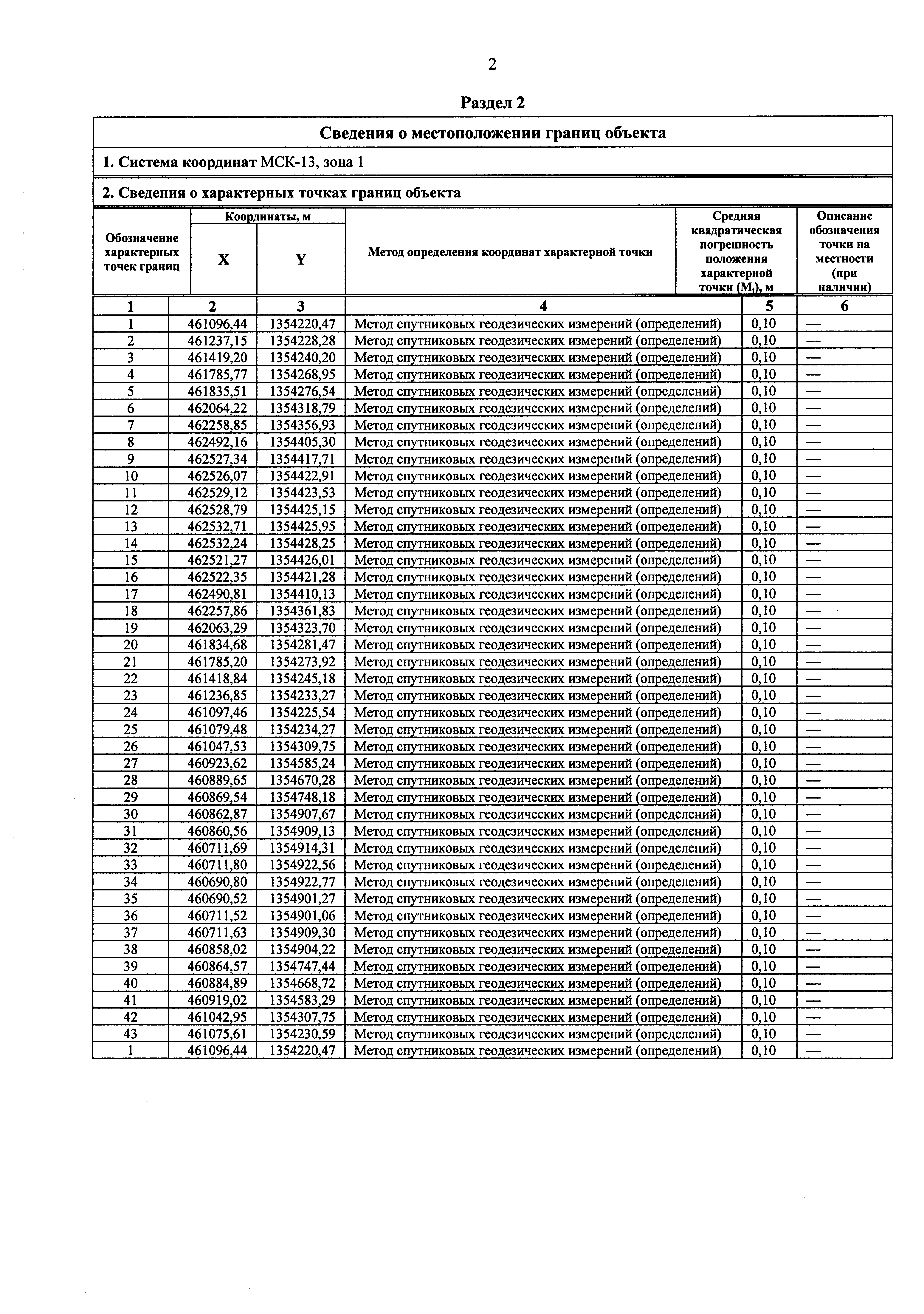
Постановление Правительства Республики Мордовия от 19.03.2026 № 269
"Об утверждении границы охранной зоны газораспределительной сети"
Номер опубликования: 1300202603200013
Дата опубликования: 20.03.2026
Страница №3 из 5: