Официальное опубликование правовых актов
ОФИЦИАЛЬНОЕ ОПУБЛИКОВАНИЕ
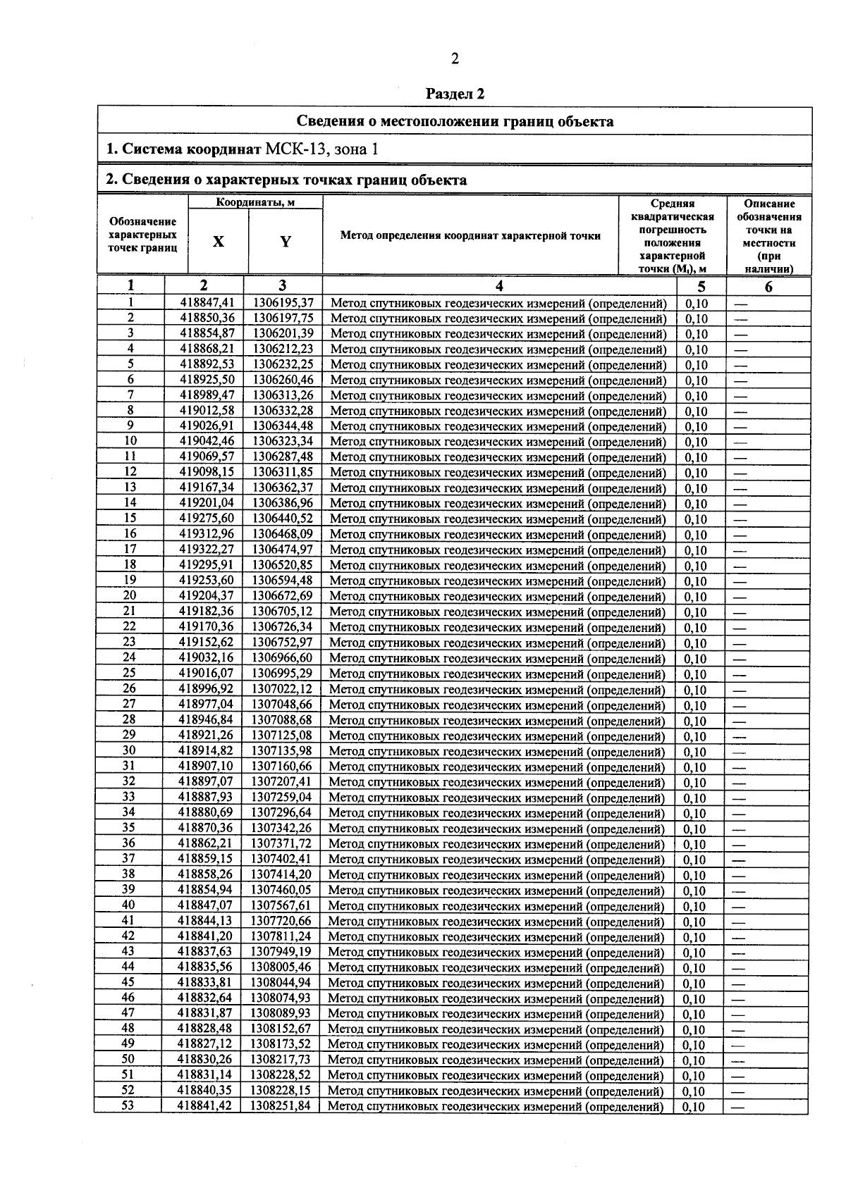
Постановление Правительства Республики Мордовия от 19.03.2026 № 268
"Об утверждении границы охранной зоны газораспределительной сети"
Номер опубликования: 1300202603200014
Дата опубликования: 20.03.2026
Страница №3 из 9: