Официальное опубликование правовых актов
ОФИЦИАЛЬНОЕ ОПУБЛИКОВАНИЕ
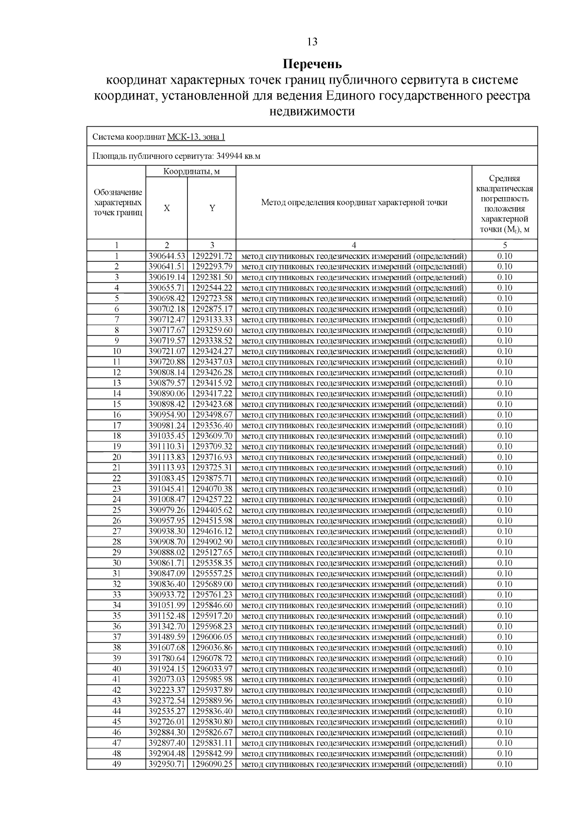
Постановление Правительства Республики Мордовия от 23.03.2026 № 285
"Об установлении публичного сервитута в целях эксплуатации объекта электросетевого хозяйства "Линейный объект ВЛ 110 кВ "Восточная – Центральная-I" с отпайкой на ПС "Рабочая"
Номер опубликования: 1300202603240006
Дата опубликования: 24.03.2026
Страница №15 из 24:
Увеличить