Официальное опубликование правовых актов
ОФИЦИАЛЬНОЕ ОПУБЛИКОВАНИЕ
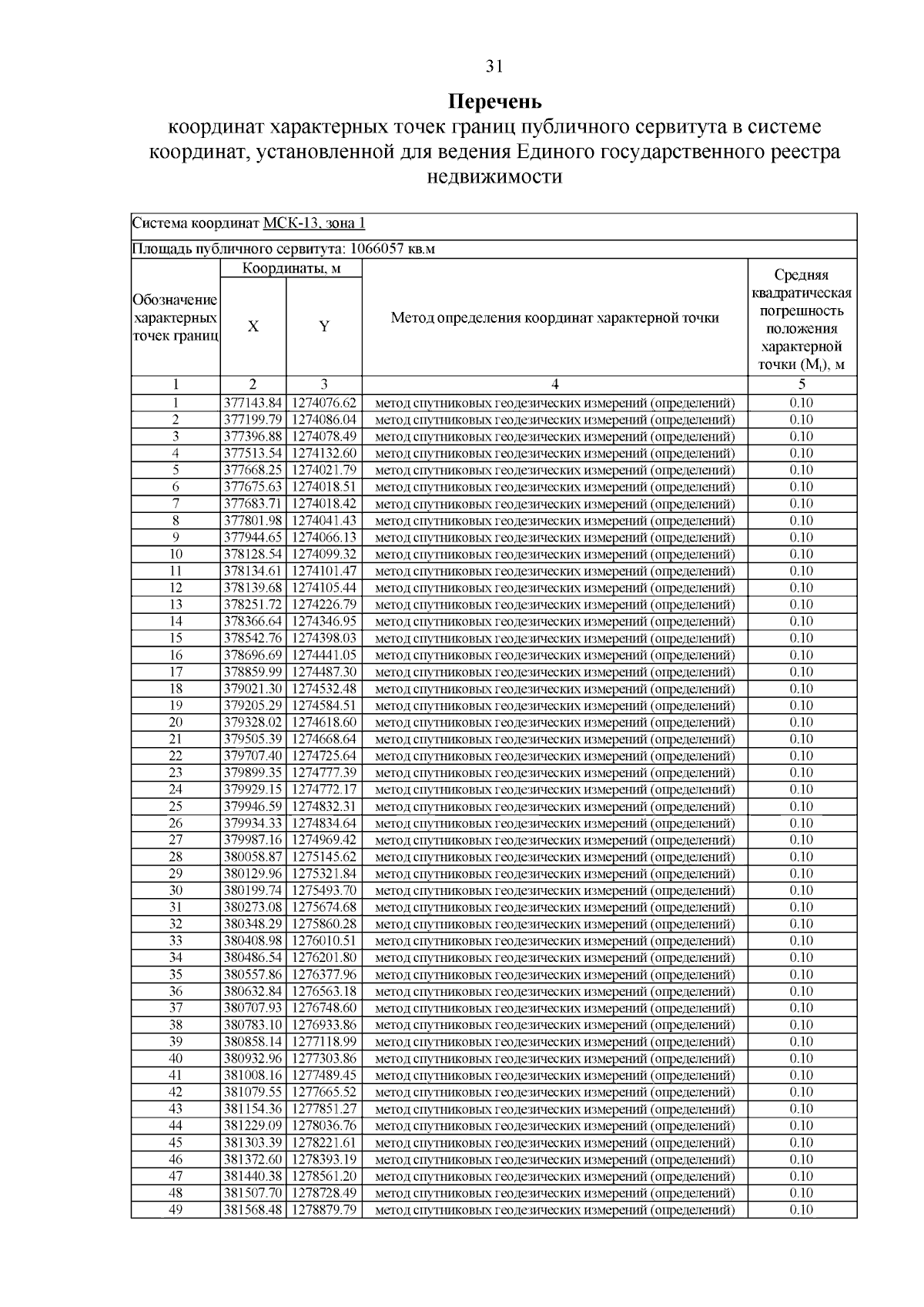
Постановление Правительства Республики Мордовия от 24.03.2026 № 289
"Об установлении публичного сервитута в целях эксплуатации объекта электросетевого хозяйства "Линейный объект ВЛ-110 кВ "Рузаевка – Юго-Западная 1,2"
Номер опубликования: 1300202603250001
Дата опубликования: 25.03.2026
Страница №33 из 57:
Увеличить