Официальное опубликование правовых актов
ОФИЦИАЛЬНОЕ ОПУБЛИКОВАНИЕ
Постановление Правительства Республики Мордовия от 27.03.2026 № 300
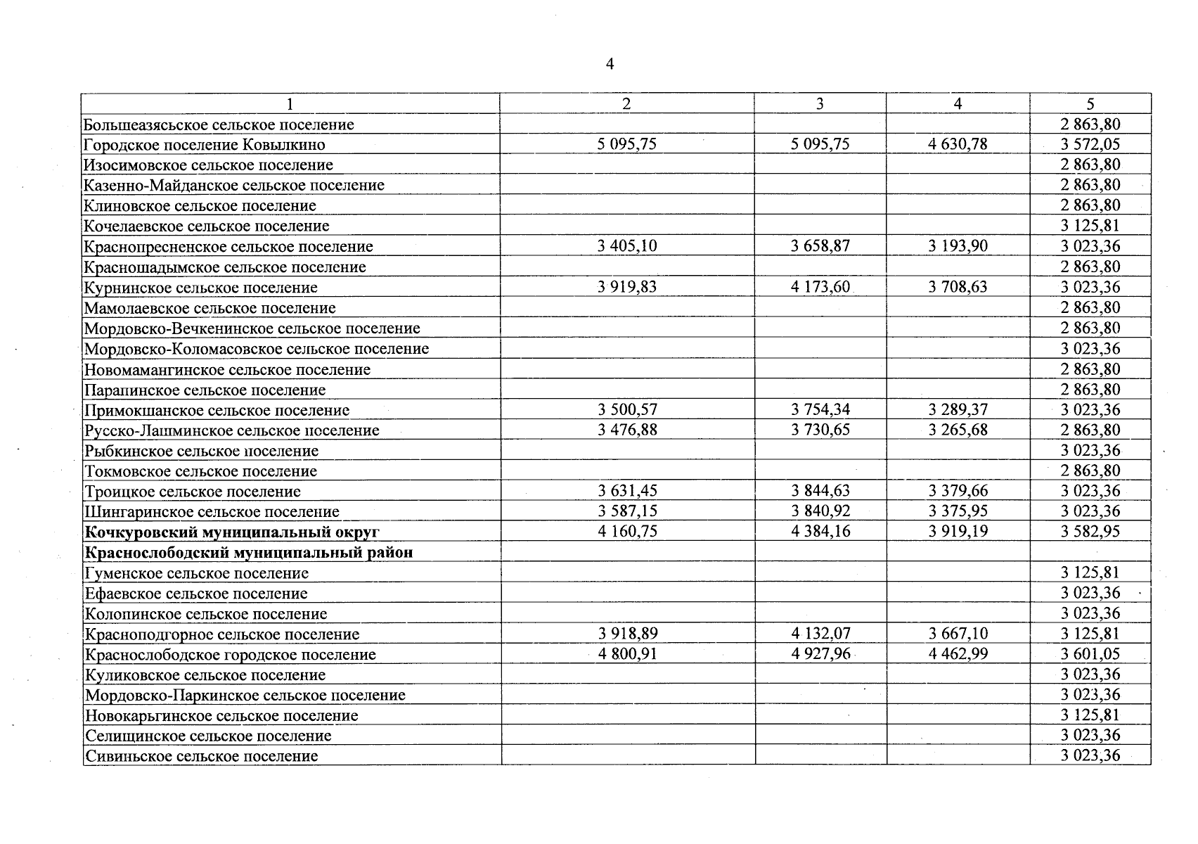
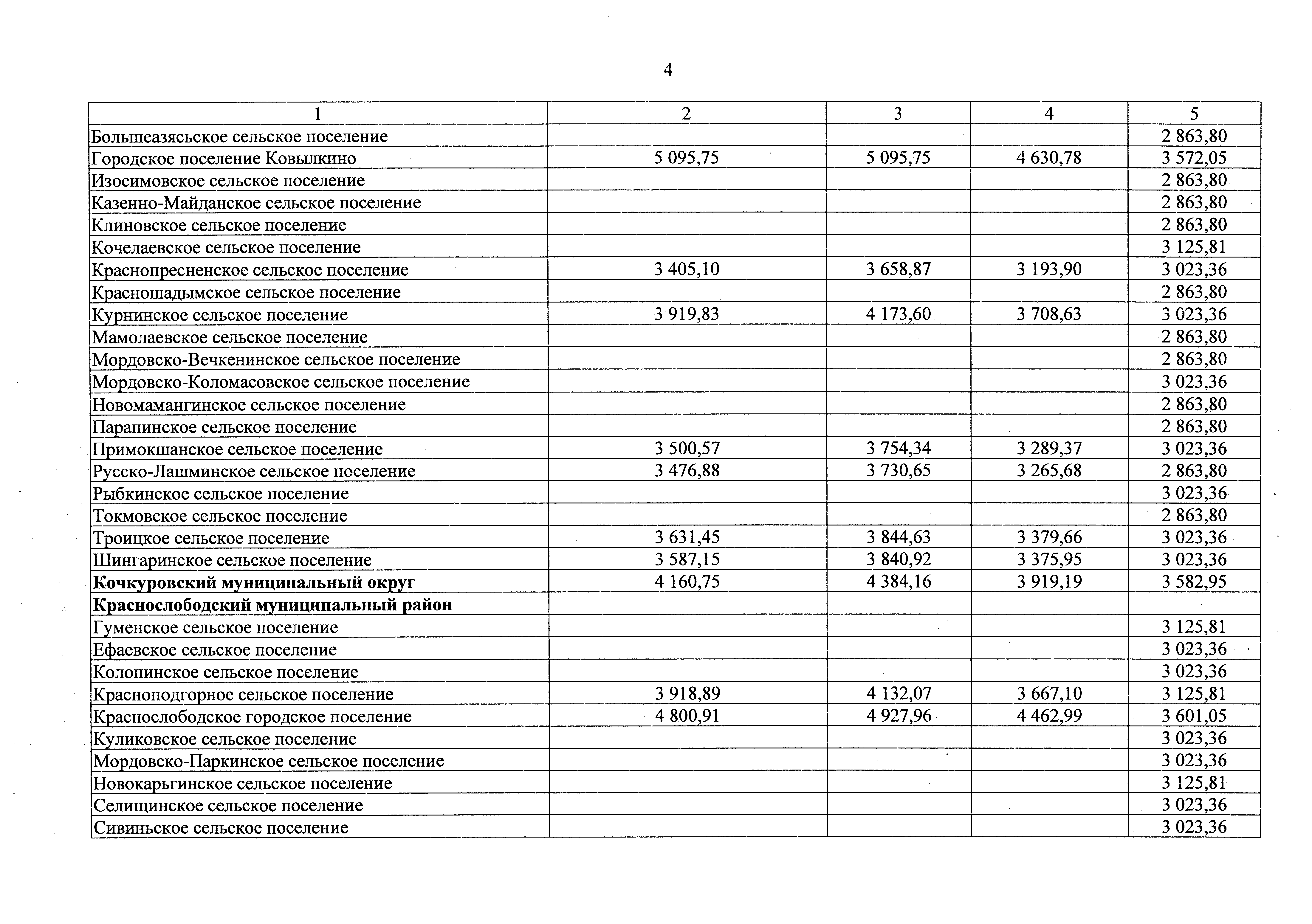
"О региональных стандартах стоимости жилищно-коммунальных услуг и максимально допустимой доли расходов граждан на оплату жилого помещения и коммунальных услуг в совокупном доходе семьи на 2026 год, используемых для расчета субсидий, и признании утратившими силу отдельных постановлений Правительства Республики Мордовия"
Номер опубликования: 1300202603270006
Дата опубликования: 27.03.2026
Страница №20 из 23: