Официальное опубликование правовых актов
ОФИЦИАЛЬНОЕ ОПУБЛИКОВАНИЕ
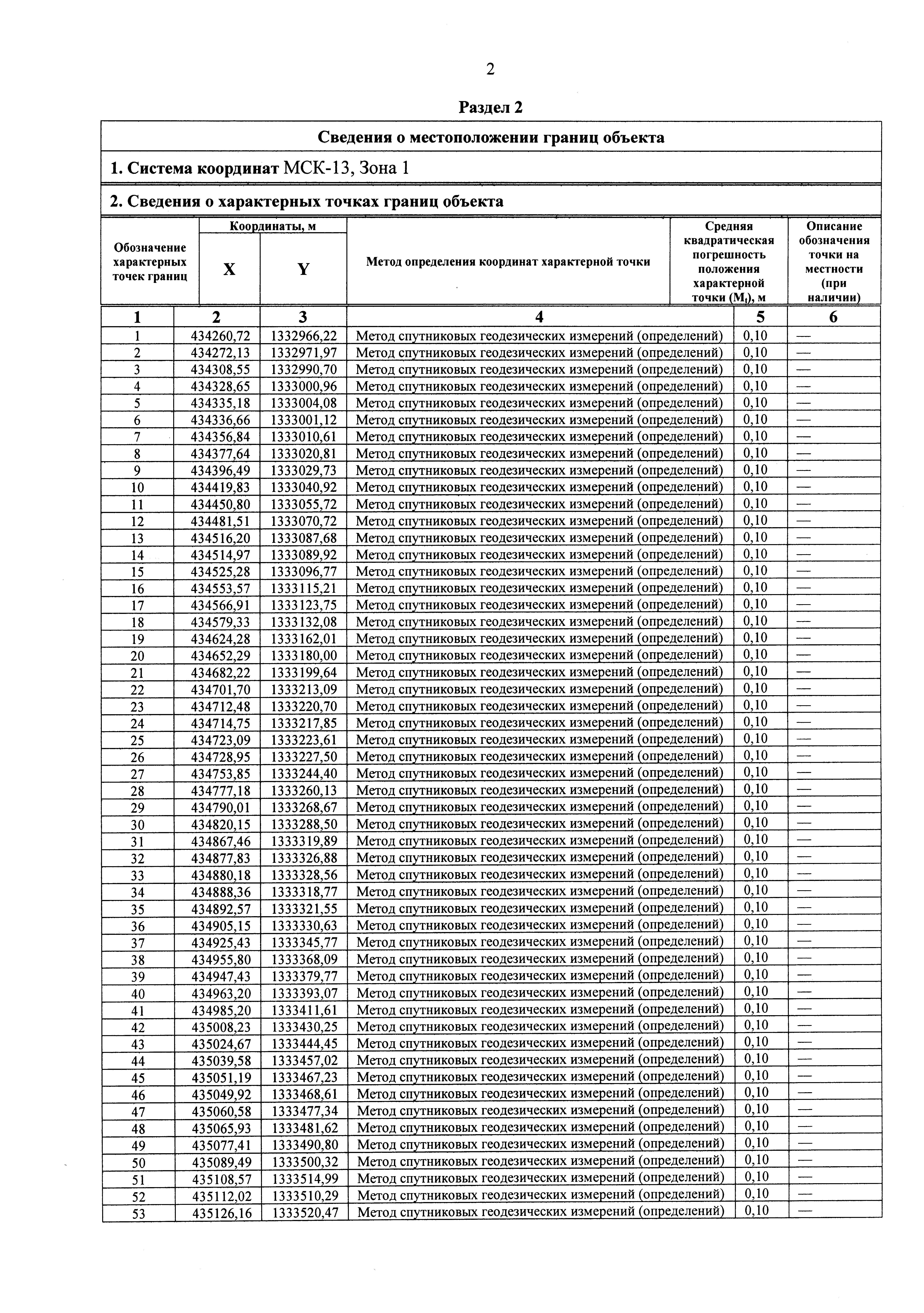
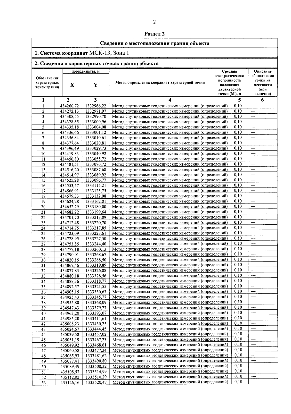
Постановление Правительства Республики Мордовия от 09.04.2026 № 365
"Об утверждении границы охранной зоны газораспределительной сети"
Номер опубликования: 1300202604090005
Дата опубликования: 09.04.2026
Страница №3 из 10: