Официальное опубликование правовых актов
ОФИЦИАЛЬНОЕ ОПУБЛИКОВАНИЕ
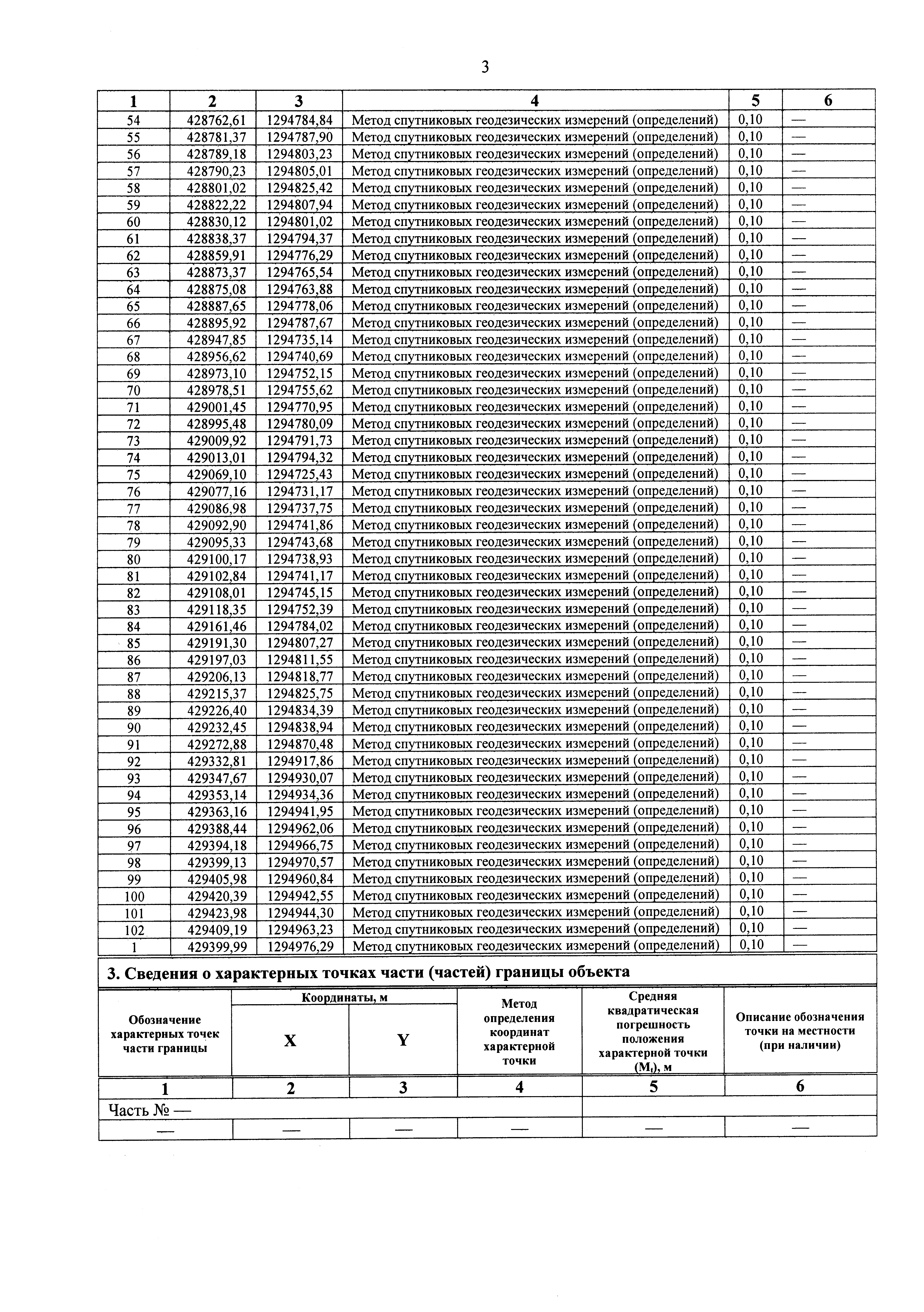
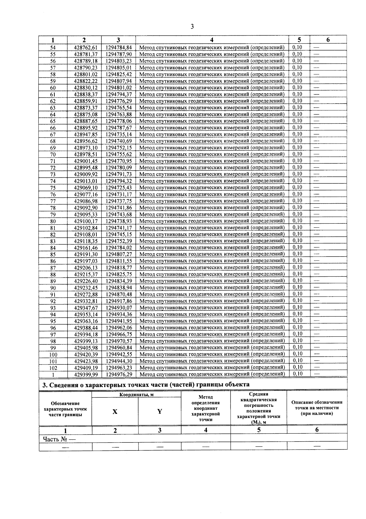
Постановление Правительства Республики Мордовия от 15.04.2026 № 382
"Об утверждении границы охранной зоны газораспределительной сети"
Номер опубликования: 1300202604160022
Дата опубликования: 16.04.2026
Страница №4 из 5: