Официальное опубликование правовых актов
ОФИЦИАЛЬНОЕ ОПУБЛИКОВАНИЕ
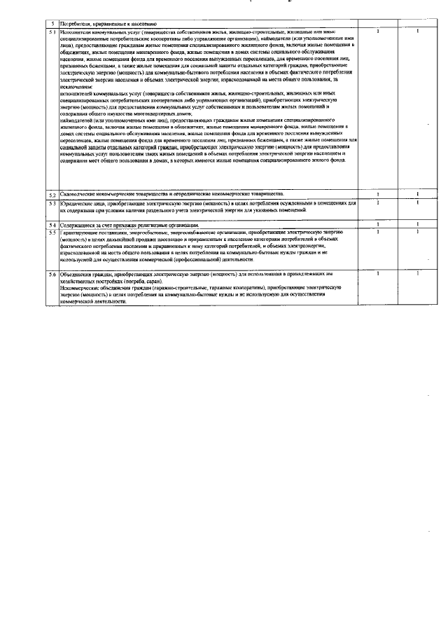
Приказ Республиканской службы по тарифам Республики Мордовия от 13.12.2021 № 205
"Об установлении тарифов на электрическую энергию для населения и приравненных к нему категорий потребителей по Республике Мордовия на 2022 год"
Номер опубликования: 1301202112170001
Дата опубликования: 17.12.2021
Страница №10 из 10:
Увеличить